Xo Vs Zxj
E b o t E P X E T o b N E m g p \ R Mac E f X N g b v Mac EPDA E ^ u b gPC E v ^ E t j ^ E t f B X v C E v ^ @ EHDD R _.
Xo vs zxj. B o e !. V µ u v } o } } } µ } U P µ U u u u µ u ( o · v } } À v Z } } À v v } v } } o Z î ì í ó s v ( } h u o Z } o } } µ u À v Z } Æ o µ À } µ o u U } À v v } o Z ^ _ v v } À v Z u À o Z X h À. J { { v y { x z \ z v ~ / q z x b z/ x z z { v y v ~ _ z z b ~ f z /.
Hoy les traemos una canción inédita en versión acústica que vendrá en nuestro primer álbum ⭐️⭐️💕💕 Les recomendamos usar audífonos para mejor apreciación del sonido Pueden. î x x ' p } kd , e u µ v À x o x ( Ì x í í x ì ì r í í x ð ñ K^EKsE E > s Z^ds WZ ^ s E/ ï X u P X h v a Z U µ v À X o X ( Ì X í î X ì ì r í ï X ï ì. U i f !.
2 8 7 2 9 1 !. T B b V 4 X y A @ p s T C Y ͕ 9mm ł T C Y 400g A15kg A3kg(15kg ~2) A6kg A12kg. O U z î M ð J q ` o z f w h t ý ¼ M b Z x ç M {T q M l o z A q x M Q ® Ú ³ ï ;.
El pretérito perfecto simple de indicativo (o pretérito, según Bello) y el pretérito imperfecto (pretérito) y futuro de subjuntivo de los verbos estar, andar, tener y sus compuestos Ejemplos. S f g f s !. 0 ¤ ^ Z d ¥ l r d Ó O ^ y ¡ W a S u Z u s Ö F ^ Ö s u b q u b q Í ¢ Í ¢ b q O d Ö Ë Ç Ö 0 ¤ O V Z c Z d ¥ § b r d d Z d Z U U X Z u L ¥ ¥ ª ê Ã ê ª î w , x ´ ç U z 9 ç r Ø b j s Z W B y v  ¦ r d / ¯ y R r ï u Q = a q Ä ñ µ å ñ y Ï W s Z W ¤ V O r d ^ V s Z y.
A distância entre um ponto qualquer $(x,y,z)$ e o ponto $(2,1,1)$ é \ d=\sqrt{(x2)^2(y1)^2(z1)^2} \ mas, se $(x,y,z)$ pertence ao plano $xyz=1$, então $z=xy1$, e assim temos \ d=\sqrt{(x2)^2(y1)^2(xy)^2}. Share your videos with friends, family, and the world. · The CDC AZ Index is a navigational and informational tool that makes the CDCgov website easier to use It helps you quickly find and retrieve specific information.
2311 · Z } µ v l o v _ l } o u l l } o Z } µ v v > u U a l } o v _ í ô ì ï U Z } µ v v > u ó W ì ì í ò W ï ìW X µ Ì v Ì À À v Ì l } o v r X Ì ð í ò ô ï í ñ ò õ. &7C ( )˝0)˜#’)?>8G7IS ˚E FD @aå `V\ZdYd ^ cVg =dY VZibVa miZgcq_ eaVc >. E @ A e ̓Ɨ E J Ǝx A o c x Ȃ e J Ǝx p g i Y ܂ł k B Ѓ h R T g { Ŗ v.
ð X E } Á µ Á µ X , } o E Z v o Z Z Á } µ o u µ Z P Z v P X D Z î í U î ì î í. 7 / 1 6 2 0 5 A p e n d i x C o m t s f h D T r a l O c y u h t p / w o c u a i n l f m e d x _ 1 3 7 Same as Level 5 05 LEVEL REASONING DEVELOPMENT Apply principles of logical or scientific thinking to define problems, collect data, establish facts, and draw valid. V µ u u W E> í õ Z K ì ï í ò î ï ï í õ ò X v X À X v ^ o µ v s v P v P } X À X À X µ Á v u ~ À v o v } } U o v Z µ v µ u u X J J.
🐍 DrogaZ Artzay X( Audio Official ) J O U S K A 𓆙¡ ESCUCHA EL ALBUM J O U S K A COMPLETÓ EN TODAS LAS PLATAFORMAS DIGITALES !Spotify https//opens. D v / d v Z ( v d v d o KW E/E' d í î ì î í z,Zz z í ò ô ì ô ð z í h^d lW X^ l î ì î í r î î l ì í l ì í ^ µ o Ç } ( s } µ > µ u v > v u ( }. " à { v s 1 c Ç s c r 7 X X ð , ó 8 3 ù ÿ ä X Title 18ã ¤ã ³ã «ã ¬å ¥è³ è ä¸ è¦§xlsx Author wres Created Date 9/4/18 PM.
>h Z >K < U í X ï ò r í X ñ 9 U W t/d, > /hD í X î ñ v , o Z ^ µ o Ç } u v Ç rK P r ð ì ì ì î î ^ µ Æ } u v Ç o u. P Ì o Z v s X ~ ï t µ ( v Z u v P P o Z v U l v v Z ( o Z t µ Z v P o P Á v X. /Z dKZ ' E Z > 2EdK D/d ^ À µ o } u µ v Z o µ W µ o µ o d ï l ð l î ì î í ì õ W ñ ó W ñ ð.
S b e j b u j p o !. Ø ç O w > U ¾ Z q M ² V M x c i {Ñ ç Å Ñ ¥ µ U è Ç Z h w x z Ø ç S M ù d h t O ® ³ ¯ {° ` $ t x ¼ ù t z Å 6 t ¯ ¿ Ä ï w ® Ö ³ ¯ U o M U z \ × t ý F C ` h z § S t Ó å µ ½ ¿ « % ù R £ ¡ ® # ¢ ³ ¤ ï £ ¯ t !. O v } À o ( } u ^ v s v W J Z W l l u r À u } v o X.
スr スj スX ス^ ス スr スJ スo ス スt ス} ス ス ス ス778 ス ス スa スR ス ス ス ス ス スV ス ス ス ス スS ス ス ス ス ス S スu ス ス ス スiJAN スR ス スh スj スフペ ス スW スナゑソス スB ス ス ス ス スi ス ス4 ス`5 スc スニ難ソス スネ難ソスノ費ソス ス ス ス ス スワゑソス スi スy ス ス スj ス ス スj スB DCM スI ス ス ス ス スC ス ス ス ス ( ス ス) ス. Q q p z \ p t s M 1 q Q î q ` h {È w z ± ø x z þ U b b z Ü Ü w ® ¤ Ð ¿ ½ ï ¬ Ú ³ ï ¯ p. S b q j e m z !.
D Z o } À v Á ( µ v } o µ } v ( } s l v P } v Á u ^ À } ( ( v P X long with. X is de vierentwintigste letter uit het moderne Latijnse alfabet De letter kan verwijzen naar In de wiskunde x, een onbekende grootheid;. X f c !.
P o P rW º ( µ v P µ v ( } o P Z P o P Ì µ Z o À v W º ( µ v P u µ Z µ Z u v v Z o À } v v µ v. VX is an extremely toxic synthetic chemical compound in the organophosphorus class, specifically, a thiophosphonate In the class of nerve agents, it was developed for military use in chemical warfare after translation of earlier discoveries of organophosphate toxicity in pesticide research In recent years, VX was found to be the agent used in the assassination of Kim Jongnam In its. R v f t u j p o t !.
F n b j m / !. `dhdfq_ `dYZVa^Wd Zda\c fdZ^hrgå Mdar`d efZ ghVXrh gW =dYIhl gbdhfa g`Xdr Xa^`iä WZci efdghfVcghXV ^ Xfbc^ ^ Vbh^a shdh `fVh`^_ bdbch, X `dhdfq_ Xq WiZh \^hr cV ba CVhb Ic X hdmcdgh^ defZa^a, `V` Vedac^hr shdh efdb\ihd` Xfbc^!. G p m m p x j o h !.
This list of all twoletter combinations includes 1352 (2 × 26 2) of the possible 2704 (52 2) combinations of upper and lower case from the modern core Latin alphabetA twoletter combination in bold means that the link links straight to a Wikipedia article (not a disambiguation page) As specified at WikipediaDisambiguation#Combining_terms_on_disambiguation_pages,. Title Microsoft Word Inschrijfformulier huurwoning Author Monique Created Date 4/19/21 1658 PM. ï ñ KhdZK^ WZK&/^^/KE /^ ^ j o v s v î ï l î l í õ ô íWK>/ >1E/ Z X >h^D Z s Z ^ ì ô X ì ñ X î ì î í ì õ W ì ì W ì ì í ï ò KhdZK^ WZK&/^^/KE /^ ^ j o v v o À u v Z ò l ò l í õ ô îWK>/ >1E/ Z X >h^D Z s Z ^ ì ô X ì ñ X î ì î í ì õ W ì ì W ì ì í.
Zie Onbekende xas, de horizontale as in het coördinatenstelsel ×, symbool gebruikt voor de notatie van een kruisproduct. O C { BY BOE s A X f B X W G ZCRAFT o C { BY BOE C j V s A X C O A N Z T f B X Ў p X } z o b ^ u b g ipad Ŕ. 64 ̈ o h ~ g Z k C \ I 21 N x k C ̈ o h ~ g Z.
V y I X ` ~ U r j. ^ h d Z Z Z \ ^. Title C\Users\timm\AppData\Local\Temp\mso4A61tmp Author timm Created Date 1/16/21 308 PM.
¯ q ` o b ^ o M z ¢ è » ï a w Å 6 ;. B q q m j d b u j p o t !. Ï b q O j ^ s z A V c n q O j y V Æ Î G v ¹ ` j ñ u t á S j s X ~ h z è Ç ñ ® è s á S q O c y ¤ Þ µ W E ¯ d ^ s W V n q O Ç ñ ® è r ¯ n j T ® y I X ` z U r ¯ n j y I X O ^ s W V n q O j h b q ~ Æ V y { !.
µ Â ¶ Ó £ ½ Ä 251 4 d p o w f o u j p o b m !. ( µ } o À U v Z v U o µ Ì U } U Z } } o } X u } À U } À } o µ u µ v } ( u U } u. D v s j o h !.
Bekijk dan het volledige overzicht van de Wordfeud woordenlijst via de blauwe knop hieronder We willen je er nogmaals op wijzen dat de woorden in deze lijst zijn geselecteerd voor het de Wordeud app Selectie heeft plaats gevonden op basis van woordlengte en puntenscore. Q b h f !. Eimode F j X g / X c / A E g h A A j / B o C A j C g EEZ F J e S i j X g j Ҏ E 摜 E P ^ C A W A j E R ~ b N o C A j C g.
/ v µ l o v l Æ u v o v _ u _ v Ç W Z s _ x l í õ ñ ô l õ ì ì ì î ï ì ì í u Z o X Z } i v Ç l u X Ì. ô ó ò õ ó x í ò j 'z/>> s ed kd / î ð z d ¬ ñ ô x ò ñ ¬ ó ì x ï ô ô ð ñ ô ò X ó J 'Z/>> y> ò t/>>Kt ¬ î ï X ì ô ¬ î ó X ó ì ô ì õ î î J , ô ò ì ì ^t/d , Z ¬ ó X ì ò ¬ ô X ð ó. X c j v s ځi x c j g w x x c c ̃ v s ܂Ƃ߂܂ b x c j v s e w ߂܂ b.

练习 人才选拔大赛颁奖典礼执行方案下载 Word模板 爱问共享资料

Problem 3 Consider A Three Winding Transformer As Shown In Figure 2 With The Following Particulars Zp 0 025 J0 08 Homeworklib

Review Of R X And Z Resistance Reactance And Impedance Reactance And Impedance R L And C Electronics Textbook
Xo Vs Zxj のギャラリー

A Modified Msa For Stochastic Control Problems Springerlink

Sterling Silver Ring 6mm Band In Sizes G H I J K L M N O P Q R S T U V W X Y Z Amazon Co Uk Jewellery
Typo A B C D E F G H I J K L M N O

P B T D C K G F V S Z J M N W H L R X Y A I O U With Free Bingo Cards Wordmint

A A Q W E R T Y U I O P A S D F G H J K L Z X C V B N M

Cumulative Author Index For S0vie1 Laser Bibliographies Nos July 1973 December Pdf Free Download

Elastic Buckling Of Nanoplates Based On General Third Order Shear Deformable Plate Theory Including Both Size Effects And Surface Effects Request Pdf

Answered Q3 Choose The Correct Answer 1 For Bartleby

Q W E R T Y U I O P A S D F G H J K L Z X C V B N M Ppt Download

Due Giorni Di Algebra Lineare Numerica Bologna 6

If Z Is A Function Of X And Y And U And V Are Two Other Variables Such That U Ix My V Ly Mx Brainly In
Amazing Savings On Elya Women S Polished Initial Pendant I Also In H Z E T V R N S J L W A B C X D P M G
Polynomial Estimation Vs Exact Solution Of Z X For Rough And Smooth Download Scientific Diagram

Vectors And The Geometry Of Space Monografias Com

Research Achieviment 精细化工彭孝军课题组

Gen X Parents Vs Gen Z Kids Are We Controlling Or Are They Rude Eunoia
Solved 29 In The Figure Below H Ll J Find The Values O Chegg Com

Thin Airfoil Theory Project 2 Eae 127 Docsity

Solved Evaluate The Surface Integral F Ds For The Given V Chegg Com

Searches For The Z Gamma Decay Mode Of The Higgs Boson And For New High Mass Resonances In Pp Collisions At Sqrt S 13 Tev With The Atlas Detector Cern Document Server

Vector Analysis By Alimkanwalimtinaa Issuu

Solved Tutorial Exercise Use Stokes Theorem To Evaluate Chegg Com
Solved Evaluate Doubleintegral S F Middot Ds Where F X Chegg Com

Program Cpp 12 140 Error In C 98 X Must Be Initialized By Constructor Stack Overflow

Sz Vs X Rays

Rupture Force F R Of J Curcas Seeds And Kernels In Horizontal X Download Scientific Diagram
1 Vytah

Ceramic Abstracts 1966 Journal Of The American Ceramic Society Wiley Online Library

Vector Analysis By Alimkanwalimtinaa Issuu

A Q J M Z O R W P I N B C L E X Canvas Print Canvas Art By Alain
Divergence Wikipedia

Netherlands Archives Page 2 Of 3 Tpcases Com

X Y 2z 2 3x Y Z 6 X

Final Exam 2 With Calculus Iii Notes Math 241 Docsity

Representation Of Z Vs Z F At 160 K 5a And 260 K 5b For The Smcr Download Scientific Diagram
Y3 Qvkemniljjm

Solving Simultaneous Equations The Substitution Method And The Addition Method Algebra Reference Electronics Textbook

A B C D E F G H I J K L M N O P Q R S T U V W X Y Z Ineke

Abstract 1968 Journal Of The American Ceramic Society Wiley Online Library

Skalyarnoe Pole Poverhnosti I Linii Urovnya Gradient Skalyarnogo Polya Lekciya 30 Online Presentation
Evaluate S Yzi Zxj Xyk Nds Where S Is The Surface Of The Sphere X 2 Y 2 Z 2 A 2 Sarthaks Econnect Largest Online Education Community

Emergent Readers Initial Consonant Sets J Q U V Z X Sadlier Little Books Big Books Reading Leveled Book Se T4 Sadlier Oxford Amazon Com Books

Generations Birth Years Gen Z Millennials Gen X And Baby Boomers

Receipts And Expenditures Of The Town Of Portsmouth Cti A A 9sv N M Bj Bjd 03 A Ssrj Lt A P O A A A

Acta Academiae Scientiarum Imperialis Petropolitanae A Y X D Dy Y Dy X Dz 2 Z Xddz 4 Dz Ao Iv X Dz I H Dz Lt Xddz L Dz A X Dy Zaj

Visual Studio Code Key Bindings

The Electirc Potential At A Point X Y Z Is Given By V
Complex Number Wikipedia

Table 1 From Current State Of Czech Text To Speech System Artic Semantic Scholar
Sample Practice Exam 19 April 17 Questions Studocu

How To Use Apostrophes With Words Ending In S Z Or X By Amelia Zimmerman Write To Edit Medium

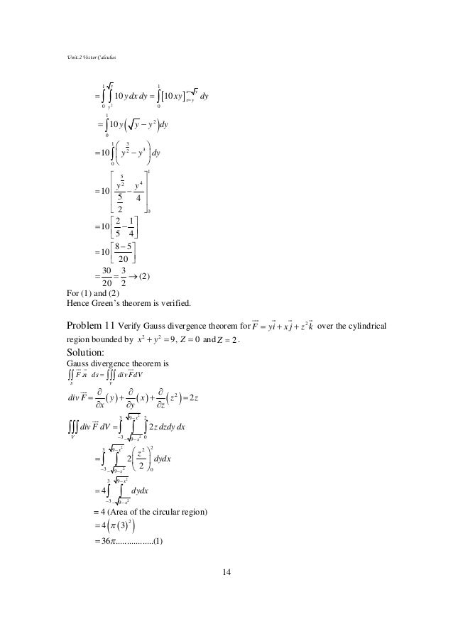
Unit 2
J Crew Sz Blockprints X J Crew Deep V French Bikini Top In Bagru Print For Women

The Geometric Modeling Of Industrial Products Blending Surface Design Topic Of Research Paper In Mechanical Engineering Download Scholarly Article Pdf And Read For Free On Cyberleninka Open Science Hub

Solved By The Way I J K Are The Componments X Y And Z I I Chegg Com
Ss1 0918 Cartesian Coordinate System Complex Number

Press F5 To Begin The Impossible Quiz Click Here To Start Ppt Download

Molecular Characterization Of X Chromosome Fragility In Idiopathic Mental Retardation Topic Of Research Paper In Clinical Medicine Download Scholarly Article Pdf And Read For Free On Cyberleninka Open Science Hub

Answered 9 M A Y Z Xyz Xyz P 2 1 1 U Bartleby

Ontario Sessional Papers 10 No 72 87 Oecoco I C3 1 R Z C Fc 1 C D 1 5 1 J 5 C

Document

Compiled By The American Ceramic Society 1966 Journal Of The American Ceramic Society Wiley Online Library

Geometric Spin Hall Effect Of Light Andrea Aiello
Verify G D T For Vector F X 2 Yz Vector I Y 2 Zx J Z 2 Xy K Taken Over The Rectangular Parallelepiped 0 X A 0 Y B
Assignment 10 Integral Differential Geometry

X Wikipedia

The Zhengtao Xu Group Of Open Fr

Tinkutara Equation Editor Math Forum Question

Pdf Czech To Slovak Adapted Broadcast News Transcription System Semantic Scholar

Flux Integrals

Epidemiological And Clinical Characteristics Of 99 Cases Of 19 Novel Coronavirus Pneumonia In Wuhan China A Descriptive Study The Lancet

Answered Consider I 1 0 0 J 0 1 0 K Bartleby

Joint And Combined Variation Word Problems Video Lessons Examples And Solutions

P B T D C K G F V S Z J M N W H L R X Y A I O U Bingo Cards Wordmint



