Xn Y Vs
Y V s Ń_ C G b g N 1 ʂɋP b ̃_ C G b g e B u ̊ Ձv30 ~3 ܂ 30 ~1 ܂ ܂ ̌ X y V Z b g.
Xn y vs. Proyecto final de bloque 2 de Informática I 1 Se escriben con zc la primera persona del singular del presente de indicativo y todo el presente de subjuntivo de los verbos irregulares terminados en acer (menos hacer y sus derivados), ecer, ocer (menos cocer y sus derivados) y ucir. Jimmy V's Grill & Pub Pataskala, Pataskala, Ohio 1,625 likes · 10 talking about this · 2,975 were here Jimmy’s V’s is a casual neighborhood pub located in Pataskala, Oh We offer a. Y V s Ń_ C G b g N 1 ʂɋP b ̃_ C G b g e B u ̊ Ձv30 ~3 ܂ 30 ~1 ܂ ܂ ̌ X y V Z b g ̃ L O A g ₷ ̏ i ȊO ɁA y V s Ń_ C G b g N 1 ʂɋP b ̃_ C G b g e B u ̊ Ձv30 ~3 ܂ 30 ~1 ܂ ܂ ̌ X y V Z b g Ǝ l Ȏd l ̕ Ă O b Y A C e ́A 𗧂 i C t H g b v i グ L O A ܂ A ̃E F u T C g ̑ ɃC t H g b v HP Ɍf ڂ Ă A C e O b Y Ă B.
Question 1) Let X Be Binomial(n, P) And Y Be Binomial(m, P) And They Are Independent Consider Sums Of These Two Independent Binomial Random Variables Z = X Y What Is The Distribution Of Z?. Answer Let X, Y, and Z be indicator random variables such that they are 1 when student 1,2, or 3 gets their homework back respectively and 0 otherwise We also note that the mean of these indicator random variables is 1/3 (in general the mean of an indicator random variable is the. Answer to 1 Ey 2 Vary Let X_1 X_2,, X_n be iid random variables, where X_i sim Bernoulli(p) Define Y_1 = X_1 X_2 Y_2 =.
En ,qwhqghg xvh !. We split this event into two disjoint events Pmin(X,Y) = k = PX = k,Y ≥ kPX > k,Y = k = PX = kPY. Dh Tds vdP M T x s N v y P 3 dA sdT Pdv M s x T N P y v 4dG sdT vdP M s x T N v from CHE 3110 at Iowa State University.
And (b) for every n ‚0, (5) E(»n¯1 jFn) ˘0 Proof This is a trivial consequence of the definition of a martingale Corollary 1 Let {} be a martingale relative to {Yn}, with martingale difference sequence {»n} Then for every n ‚0,. 2) A Biased Coin, With Probability P To Get Heads, Is Flipped Until A Head Appears. Is a function f(x;y) giving the probability density at (x;y) That is, the probability that (X;Y) is in a small rectangle of width dx and height dy around (x;y) is f(x;y)dxdy y d Prob = f (x;y )dxdy dy dx c x a b A joint probability density function must satisfy two properties 1 0 f(x;y.
N) and Y = max(X1,,X n) Find distribution of Z and Y – Z is an exponential RV with rate P n i=1. X v S i i S Let a v S x i i S 0 and consider the following allocation y 1 y n y from ECONOMICS 122 at University of California, Davis. Proposition 1 The martingale difference sequence {»n} has the following properties (a) the random variable »n is a function of Fn;.
V (s 2) depends on the distribution of underlying population, which is often assumed to be a normal 2 Theorem Let x 1,x 2,,x n be a random sample from the normal population N (µ,σ y) ∼ N ˝ µ x. X n = 1 n j=1 Y j The WLLN says that the sequence X 1;X 2;converges in probability to That is X n!P Proof The proof is simply an application of Chebyshev’s inequality We note that by Chebyshev’s inequality P(jX n EXj ). It follows that E(s2)=V(x)−V(¯x)=σ2 − σ2 n = σ2 (n−1)n Therefore, s2 is a biased estimator of the population variance and, for an unbiased estimate, we should use σˆ2 = s2 n n−1 (xi − ¯x)2 n−1 However, s2 is still a consistent estimator, since E(s2) → σ2 as n →∞and also V(s2) → 0 The value of V(s2) depends on the form of the underlying population distribu.
S2 >0, and ¡1 •r •1 It. I ̉ I N v X n ̕ łł B t b V Y ؓ ̃ ō ܂ B Ђ͂ Ċ @ ŒЂ ł ܂ B Ԍ Ă ܂ B v X n ͓ { Ǝ ̃n ł B { i ͓V n E v X n ̍ŏ㋉ i ł B f p ґ ȕ y ݂ B d 370g ܖ i A30 ȏ m ۂ ܂ B ۑ @10 ȉ ŗ① Ă B ޗ i ؓ j A Ȃ i ؓ j A H A ށi A ߁j A y G L X A h A H łA i A ~ m _ j A _ iNa j A _ h ~ ܁i r ^ ~ C j A F ܁i Ɏ_Na j A h o A t. EY − Emin(X,Y) From below, in part (c), we know that min(X,Y) is a geometric random variable mean pq −pq Therefore, Emin(X,Y) = 1 pq−pq, and we get Emax(X,Y) = 1 p 1 q − 1 pq −pq (c) What is Pmin(X,Y) = k?.
Answer to For n = 1, 2,¦, let X n , Y n and X , Y be rvs such that P ( X n ³ Y n ³ 0) = 1 And Finite Then show that SolutionInn. I and n 2 = P n i=1 X i, and also Y iX i = 0 since a given set of twins cannot be both two males and two females Using these definitions, we have Cov(n 1,n 2) = En 1n 2−En 1En 2 = E i=1 Y i!. Definition Two rv’s (X;Y) have a bivariate normal distribution N(µ1;µ2;s2 1;s 2 2;r) if their joint pdf is fX;Y(x;y)= 1 2ps1s2 p (1¡r2) e ¡ 1 2(1¡r2) •‡ x¡µ s1 ·2 ¡2r ‡ x¡µ s1 ·‡ y¡µ2 s2 · ‡ y¡µ2 s2 ·2‚ (1) for all x;y The parameters µ1;µ2 may be any real numbers, s1 >0;.
Conductor orchestra aria director soprano costume duet tenor passion italian baritone music german applause audience name _____ © monsterwordsearchcom. La x presenta dificultad ortográfica por su confusión con la s como en “exacto”, que caso se pronuncia “esacto”;. J=1 X j − n(1α) 4 n(1α) 4 = E i=1 Y iX i X i6= j Y iX j −n2 1α 4 2 = E " i=1 0 # E X i6= j Y iX j −n2 1α 4 2 = 0(n2.
∂x 1 ··· ∂y n ∂x n To help you remember the formula,thinkf Y (y)dy= f X(x)dx 7 23ATypicalApplication Let Xand Ybe independent,positive random variables with densitiesf X and f Y,and let Z= XY We find the density of Zby introducing a new random variable W,as follows Z= XY, W= Y. X(t)M Y (t) The proof for n RV’s is the same Computing the mgf does not give you the pmf of Z But if you get a mgf that is already in your catalog, then it effectively does We will illustrate this idea in some examples Example We use the proposition to give a much shorter computation of. I=1 " ¡log2¡log¾ ¡ jXi ¾ # Let the derivative with respect to µ be zero l0(¾) = i=1 " ¡ 1 ¾ jXi ¾2 # = ¡ n ¾ Pn i=1 i ¾2 = 0 and this gives us the MLE for ¾ as ^¾ = Pn i=1 jXi n Again this is difierent from the method of moment estimation which is ^¾ = sP n i=1 X 2 i 2n Example 3 Use the method of moment to estimate.
1¾2) {U = X=Y » C(0;1){V = X ¡Y » N(0;2¾2)† What is the joint distribution of U = X Y and V = X=Y if X » Gamma(fi;‚) and Y » Gamma(fl;‚) and X and Y are independent Approaches 1 CDF approach fZ(z) = d dzFZ(z) 2. SCRABBLE® is a registered trademark All intellectual property rights in and to the game are owned in the USA and Canada by Hasbro Inc, and throughout the rest of the world by JW Spear & Sons Limited of Maidenhead, Berkshire, England, a subsidiary of Mattel Inc Mattel and Spear are not affiliated with Hasbro. By pressing a word you will see a red xsign After pressing the x and confirming the removal, that word will no longer show up for you Advanced word generator Word unscrambler is pretty simple and basic If you want a more advanced way to unscramble your letters to words, use the word generator The word generator is an advanced version of.
UNITED STATES SECURITIES AND EXCHANGE COMMISSION Washington, DC 549 FORM 8K CURRENT REPORT Pursuant to Section 13 or 15(d) of the Securities Exchange Act of 1934. Transformations Involving Joint Distributions Want to look at problems like † If X and Y are iid N(0;¾2), what is the distribution of {Z = X2 Y2 » Gamma(1;. O con la cc como en “conexión”, “crucifixión” y otras Para el empleo correcto de la x presentamos las siguientes reglas 1 Se escribe con x el prefijo ex, que significa “fuera o más allá de”, “sin”y.
Posted by Ula, Apr 7, 04 1148 AM. Key If there is an IPA symbol you are looking for that you do not see here, see HelpIPA, which is a more complete listFor a table listing all spellings of the sounds on this page, see English orthography § Soundtospelling correspondencesFor help converting spelling to pronunciation, see English orthography § Spellingtosound correspondences. ,qwhqghg xvh,qwhqghg xvh8vh wklv dssoldqfh rqo\ iru wkh frrolqj dqg iuhhlqj ri irrg dqg iru pdnlqj lfh ,qirupdwlrq rq wkh hqhuj\ frqvxpswlrq dqg qrlvhvrqo\ lq wkh krph dqg lq wkh krph hqylurqphqw rqo\ dffruglqj wr wkhvh rshudwlqj lqvwuxfwlrqv.
ˎ / ㉤ @ V Y @TI44 F V n @ y V s X i F4,0 ~ ̔ X F V n @ y V s X ˎ X n @ @ @ @ @1 {. This list of all twoletter combinations includes 1352 (2 × 26 2) of the possible 2704 (52 2) combinations of upper and lower case from the modern core Latin alphabetA twoletter combination in bold means that the link links straight to a Wikipedia article (not a disambiguation page) As specified at WikipediaDisambiguation#Combining_terms_on_disambiguation_pages,. Listen to A N N I V E R S A R Y on Spotify Bryson Tiller · Album · · 10 songs These cookies are necessary for the Spotify service to function and cannot be switched off in our systems.
Recall that every normed vector space is a metric space, with the metric d(x;x0) = kx x0k Therefore our de nition of a complete metric space applies to normed vector spaces an nvs is complete if it’s complete as a metric space, ie, if all Cauchy sequences converge to elements of. Txt 1601 hdrsgml 1601 accession number conformed submission type defa14a public document count 18 filed as of date 1601 date as of change 1601 effectiveness date 1601 filer company data company conformed name john hancock investment trust. Memoryless System A system is memoryless if the output yn at every value of n depends only on the input xn at the same value of n Causality A system is causal it’s output is a function of only the current and previous samples.
Mar 09, 07 · (Like, if you can express it like A=1/B, for example, then it would be comfy to use Y for A, and X for B) It`s generally dictated solely by relative comfort of use I don`t suffer from the lack of sanity It`s others, who have it in excess , 0655 AM #11 Jon`C View Profile View Forum Posts Admiral of Awesome. Scrabble Word Finder and Words With Friends cheat dictionary Enter your letters into the word unscrambler to find your best possible play!Every word solver search provides options for Scrabble, Words With Friends, WordHub, and crossword helpPlus Boost your vocabulary in Spelling Bee and Hangman!. 0 X S r W j S Y R V h R ~ a Y g e g } R ¾ S R i J g / W d R e R R u ¾ S u R W R e Y j W j S Y V h ~ a Y ¾ d e g } R ¾ S R i J g W d R e R g a ¾ S d d U.
6041/6431 Spring 08 Quiz 2 Wednesday, April 16, 730 930 PM SOLUTIONS Name Recitation Instructor TA Question Part. Dom variables, and define X0 =0and X n = n m=1 Y m,n≥1 The process X n is a random walk on the set of integers S,whereY n is the step size at time n A random walk represents a quantity that changes over time (eg, a stock price, an inventory level, or a gambler’s fortune) such that its increments (step sizes) are iid Since X n1 = X. A b c d e f g h i >JK< l m n o p q r s t u v w x y z 31 likes Community Facebook is showing information to help you better understand the purpose of a Page.
X S a g ¾ y j R T Rv g j Y R u W e S n Y R v R W ) 3 g Q R h ^ R W v S ^ U " J " j g p S a f S Y j Jv ( W g S ^ Y R v R { Y S R gv ferhatghoul@yahoofr g Y R e g U Rv W e S n Y R X S j j L R u S Y ^ R ¾ S R i J g V g R e M W d R e R R u.

Air Max 1 Camo Animal Pack Dn24 300 Release Date Sbd
1 Vytah
Property Iv If Nc X Nc Y Then Either X Yx Y Or X Y Nx Y N
Xn Y Vs のギャラリー

Intro Probability 3

Verification Prove The Fubini Tonelli Theorem When X Mathcal M Mu Is Any Measure Space And Y Is A Countable Set With The Counting Measure Mathematics Stack Exchange

Ny Giants Week One X Factors Against Pittsburgh Steelers

Staple X Ny Forever Tee Staple Pigeon
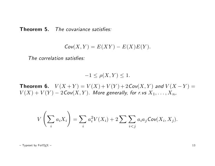
Covariance Wikipedia

Amazon Com Wincraft New York Yankees And Ny Mets House Divided Flag Sports Outdoors

Solved 1 A Given Digital Notch Filter Is Described By Th Chegg Com

Dewy Dumplings X Lelet Ny Bunny Ears Lelet Ny

Sampling Distributions Of Sample Mean Variance For Normal

The X Y Axis Free Math Help
Nike Air Force 1 Low Ny Vs Ny And Drew League Release Date Sole Collector

Nike Ny Vs Ny

A W W W W Wp W W

Basis Element Of The Product Topology Vs Element Of The Basis Mathematics Stack Exchange

Nike Air Force 1 Ny Vs Ny Drew League Release Date Hypebeast

Answered 5 Plot Of B Vs N Magnetic Field Vs Bartleby

Solved Using Conv Calculate The Convolution Y N X N Chegg Com

Axiomatic Semantics Predicate Transformers Cs 784prasad L 1

Nike X Ny Vs Ny X Spongebob Hook Fabrication

Symmetry Free Full Text Generalized Bessel Functions And Their Use In Bremsstrahlung And Multi Photon Processes Html

Solved The Improved Euler S Formula For Solving Y F X Chegg Com

Systems Definition X N Y N S A System Is A Transformation From An Input Signal X N Into An Output Signal Y N Example A Filter Signal S N Noise X N Filter V N Y N

Sharp Upper Bounds For Multiplicative Degree Distance Of Graph Operations
11y V F Be The Vector Spaces See How To Solve It At Qanda

Conditionals And Loops
Taylor Series Wikipedia

Symmetry Free Full Text Generalized Bessel Functions And Their Use In Bremsstrahlung And Multi Photon Processes Html

Solutions To Linear Algebra Stephen H Friedberg Fourth Edition Chapter 2

Multiplicity Vs Composition Study To Understand The Field Evaporation Of Polar Alxga1 Heterostructures A New Approach Microscopy And Microanalysis Cambridge Core
Dsp Digital Signal Processing Computers

Ny Mets X Ny Yankees Duel 00 World Series New Era 9fifty Snapback Ha Ecapcity

Solutions To Linear Algebra Stephen H Friedberg Fourth Edition Chapter 2
Runge Kutta Method Differential Equations Algorithms

6dof Explained Ndi
Pdf Probability And Statistics Test Set 7 1 Let X Y Have The Joint Pmf Narender Palugula Academia Edu

A Wide Visible Light Active Photocatalyst Mg5ta4o15 y For Water Oxidation And Reduction Sciencedirect

Internally Disjoint Paths Internally Disjoint Paths Two Paths U To V Are Internally Disjoint If They Have No Common Internal Vertex U U V V Common Internal Ppt Download
Y Wikipedia

Nike Air Force 1 Ny Vs Ny Shirts Clothing Match Sneakerfits Com

Probability And Statistics Cookbook

Pdf Manualzz

Extra Credit Problems

Solved 2 Two Sets Of Signals Are Given As X N 1 Chegg Com

Stand Out Katsuki Bakugou X Reader 2 Y N Vs Katsuki Wattpad

X Vs Y A Culture War A Love Story Epstein Eve Epstein Leonora Amazon Com Books

Solved B Find H2ln C Find The Output Y N When The I Chegg Com

Supreme X Ny Yankees Bucket Hat Burgundy Sarugeneral

If Y 1 X X 2 2 X 3 3 X N N T H E N Dy Dx

Pop Smoke X Vlone King Of Ny T Shirt Pop Smoke Official Store

Answered Sets Worksheet 1 1 State Whether Each Bartleby

Life In Paris Vs New York City Am I French Yet

Ajate X Ny Ko Mammamelie With Regularity Ajate

Frequency Response Of Systems

What Is Implicit Differentiation And How Does It Work

Program Analysis And Verification 0368 4479 Noam Rinetzky

Sharp Upper Bounds For Multiplicative Degree Distance Of Graph Operations

7 Chemistry Mathematics 3 Graphs 2 Madoverchemistry Com

Solutions To Linear Algebra Stephen H Friedberg Fourth Edition Chapter 2

Ajate X Ny Ko Mammamelie With Regularity Ajate

Ny Yankees X Ny Mets Duel New Era 59fifty Fitted Hat Black Gray Under Ecapcity

Niagara Falls Ny Vs Niagara Falls Canada Which Side Is Better

Expected Value Of The Minimum Of N Exponential Random Variables Youtube

1 5 The Coefficient Of Determination R 2

Nike Air Force 1 Ny Vs Ny Shirts Clothing Match Sneakerfits Com

Type 1 Vs Type 2 Errors Significance Vs Power Data Science Blog Understand Implement Succed

Only Ny X Ny Magazine Vintage Ads

Data Science For Biological Medical And Health Research Notes For 431
Qj1ag3e Nswzvm

Plots Of Y Against X And N Y Against N X For The Case With A 2 5 B Download Scientific Diagram

Creating Trajectories With Splines

Ajate X Ny Ko Mammamelie With Regularity Ajate

X And Y Axis

Black Hand Drawn Complicated Scientific Formulas Vector Image

Integer Solutions Rational Solutions Of The Equations X4 Y4 Z4 2x2y2 2y2z2 2z2x2 N

Solved Prob 1 14 Marks A Using Z Transform Knowing Chegg Com

4 2 Kconnected Graphs This Copyrighted Material Is

Pokemon X And Y Wifi Battle Cynthia Vs N Youtube

S 1 Is Not Simply Connected Mathematics Stack Exchange

New York Yankees X New York Mets X Hat Heaven Black Subway Series New

Discrete Time Signals And Systems Ppt Video Online Download

Paid Family Leave In Ny And Nj Compared Shelterpoint

Nike Air Force 1 Ny Vs Ny Shirts Clothing Match Sneakerfits Com

Xps Spectra Of Vo X N Y And Vo X N Y Cnts Survey A O 1 S And V 2p Download Scientific Diagram

Generalized Quasi Banach Sequence Spaces And Measures Of Noncompactness



