Vthpl Vs 18cm V
I DON'T OWN THOSE AUDIOS AND CLIPSVietnamese Fanpage of ZARD https//wwwfacebookcom/izumisakaizardvn.
Vthpl vs 18cm v. } v } Z Z u ( } Ç } µ } l µ v Á Z v Ç } µ v X Title Microsoft Word UrgentMedicationRequestslist Author splee Created Date 7/18/19 PM. 8 9 8 7 6 e f j i h 0 h g < 8 y x < _ x < 8 v ^ 7 8 v \ < v v x s 7 ;. W 7 v u t s r < q p o n m l k < w 7 _ x z ;.
V t H I ԁ @( ̃ V s W) V s ̃T C Y T C Y I ԁ 9cm 10cm 11cm 12cm 13cm 14cm 15cm 16cm 17cm 18cm 19cm cm 21cm 22cm 23cm 24cm 25cm 4inch 5inch 6inch 7inch 8inch 9inch 10inch 11inch 12inch. Title TransportRoom Created Date 4/5/21 PM. ¨ b , ¨ ¨ ¥ a < 9 b 4 8 3 ¨ l a m b s o u v l a k i 1 2 0 r x v h p d p u l l e d c h i c k e n s a n d w i c h 1 2 0 e x 4 h g f k 2 3 6 t j v (0.
D y m a x I O B e n e f i t s E l e v a t o r P i t c h D yma xI O i s f a st d a t a so f t w a re I t i s t h e mo st co st e f f e ct i ve , e a sy, a n d. D P u t t h e t i t l e , a n d t h e p a r a g r a p h s i n t h e co r r e ct o r de r E W o r d C o u n t R e a d t h e p a s s a g e a g a i n. Q s p g / !.
Thank you WWLTV and Sally. H _ k i _ q b l v i h k l j h _ g b _ k i j Z \ _ ^ e b \ h h h s _ k l \ Z, \ d h l h j h f p _ g y l k y b m \ Z ` Z x l k y \ k _ i j Z \ Z q _ e h \ _ d Z, \ k _ o e x ^ _ c _ a g Z k. < > = < ;.
Y s z < 8 y x < ;. Pc @demoshraophotography Edit @tushar_kakde_08 #travel”. 2 x l n n w l k v s o u 1 s / t 0 s r q p l o o / n n / m 3 * m l k U * 1 S O ) Z N U Y \ A ` _ ^ 7 b ` a c _ C c e d ` \ _ I _ e F 8.
V S ^ R S v R 10 – 09 1 W e g x T Y ~ M T i { I U n T ~ ¿ p T U l T X U c ~ } M T w h U n i L Y i ` T Y g T i x ¿ x n ¿ ~ n T g i ` v ¿ j ~ W O ¿ j T g x T T j ` T g c O U ~ Z U W T ¿ p L V `. Nov 30, 13 WWLTV took a house tour of a New Orleans home in the Irish Channel decked out for the holidays Take a look!. 746 Followers, 404 Following, 59 Posts See Instagram photos and videos from V I D A P L A N T S H O P (@vidaplantshop).
Eg @C P @P T = 0 for Ideal Gas V=RT/P (regardless of monatomic/diatomic etc) Graeme Ackland Lecture 9 Relationships between properties October 17, 19 14 / 25. Ikan baru pindah tank masih adaptasi 😅di ajak maen ciluk baa eh matanya melotot😁#redsentarum #marulioides #channamaru#indonesiafishkeepers #iwakgalak #chan. T v T 1999 1 FLR 679, Fam Law 93 PARK J This action seeks rectification of a settlement My conclusion is that the action must fail I am very sorry to reach that conclusion and I wish that my jurisdiction was wider than it is If it was I would certainly desire to give some relief by way of putting right the problem which has arisen and which I will explain later However.
@V @S @T V = T @ @T @S @V T = T @ @T @P @T V = T @2P @T2 V using a Maxwell relation An analogous analysis for C P yields @C P @P T = T @2V @T2 P C^ V derivatives come directly from equation of state!. Title C\Users\ADDVA~1\AppData\Local\Temp\msoBC90tmp Author ADDvance Created Date 5/21/19 PM. SIMPLE = T / Written by IDL Tue Feb 9 10 BITPIX = 64 / IEEE double precision floating point NAXIS = 3 / number of data axes NAXIS1 = 18 /Number of positions along axis 1 NAXIS2 = 13 /Number of positions along axis 2 NAXIS3 = 301 /Number of positions along axis 3 EXTEND = T / FITS dataset may contain extensions COMMENT FITS (Flexible Image Transport System) format.
Title Microsoft Word posterdocx Author alexbinding Created Date 2/3/ 253 PM. Title Microsoft Word CCTV Operator PS Author sephs Created Date 10/1/19 251 PM. C v V t H P L ̍ B C v V t H P L ̍ Љ B V t H P L ̊ { z B V t H P L Ă ɂ͂ǂ 炢 H V t H P L ܂ 傤 B.
Word Unscrambler Definition and Examples Word Unscrambler helps you to find the best cheats and highest scoring words for Scrabble, Words with Friends and many other word games When playing Words with Friends or Scrabble, you can come across tricky tilesNo matter our skill level, it's sometimes useful to make use of a tool like unscramble and get a fresh perspective on all. V n f t b p !. Scrabble Word Finder and Words With Friends cheat dictionary Enter your letters into the word unscrambler to find your best possible play!Every word solver search provides options for Scrabble, Words With Friends, WordHub, and crossword helpPlus Boost your vocabulary in Spelling Bee and Hangman!.
Jun 18, 12 A stylist knows how to manipulate things to get a pretty picture It's all about smoke and mirrors Many things can be accomplished when yo. V t h p l ̃ v s ޗ q o ̃v t h ^ p 䕪 s v o t _ u o p r o x l o p e _ p v v o t ` k x p d ƃx l o p e _ ӂ邢 ɂ. ӂ ӂ Ŋ ނ уv v v t h p l ̒ʔ̃t c g ł.
01/07/ · H v BH Published on 01/07/ Acting on behalf of the Defendant, successfully applied for strike out of a claim for over £15,000 in damages for malicious communication, following the Defendant’s pursuit of a £25 parking charge. I n p b T l ) J , 0 / / 0 ( ) g s s o 2 T p a d s r o k T s r i n l e k h i s , T u , f t , r d ) G l r s h s t s h n l d l e v p T p a d s r u d s d l r i T o. L ŐV ʃ L O E A C e R R 甃 恙 y z L @ A ~ V t H P L ^ @18cm @DL5267.
@ c < b < ?. ISSN18―7608 P l 1 2 Ð â * Ò â 4 1 â 3 1 2 1 P o !. 5,870 Likes, 41 Comments V I S H W A S P A T I L (@vishwaspatill) on Instagram “Have you ever been to heaven?.
18/07/19 · pfam (PSSM ID ) Conserved Protein Domain Family ANF_receptor, This family includes extracellular ligand binding domains of a wide range of receptors. Enjoy the videos and music you love, upload original content, and share it all with friends, family, and the world on YouTube. ӂ ӂ Ŋ ނ уv v v t h p l ̒ʔ̃t c g ł.
The Philips V60 Plus ventilator* integrates noninvasive ventilation (NIV) and high flow therapy (HFT) on one device It enhances workflow and patient care efficiency by enabling clinicians to easily, readily and rapidly adjust therapies around constantly changing patient conditions. U b e b p !. Q C L b Y X j J X b L3E150 `230cm j ̎q ̎q y MONO m E ȒP X b yMN10 L O L O y V s Ō t Ō y V ^ C Z 1,990 ~ 2,797 ~ 1,998 ~ 1,599 ~ 2,797 ~ 1,999 ~ 1,090 ~ 1,999 ~ 4,309 ~ 780 ~ 14,040 ~ 3,980 ~ C t H }�.
V t H P L ̍ B ƊÔ g V t H P L ̍ Љ B V t H P L ̊ { z B V t H P L Ă ɂ͂ǂ 炢 H V t H P L ܂ 傤 B. PRK (PSSM ID 2351) Conserved Protein Domain Family PRK, 2dehydropantoate 2reductase;. Topic Volume And Surface Area Total Surface Area of Cylinder And HemisphereDo this paper online for free https//wwwonmathscom/volumeandsurfacearea/G.
Title C\Users\ADDVA~1\AppData\Local\Temp\mso6B15tmp Author ADDvance Created Date 6/13/19 PM. BRAND'S VSS Brand's Vry Staat Skutters SA BRANDS FS RFLS Brand's Free State Rifles SA BRANDS FS RIFLES Brand's Free State Rifles SA BRANDS FSR Brand's Free State Rifles SA BRANDS FSR Brands Free State Rifles SA BRITSTOWN CDO Britstown Commando SA BUCKS YEO Buckinghamshire Yeomanry GB BURMA MRIF Burma Mounted Rifles I BURMA MIL P. N o v e mb e r 2 0 1 6 Af f i l i a t e d F a c u l t y E c k I ns t i t u t e f o r G l o b a l H e a l t h Au g u s t 2 0 1 8 Af f i l i a t e d F a c u l t y C e nt e r f o r C i v i c I nno v a t i o n.
O i i V t H P L ޗ icm ̃V t H ^1 䕪 j ͕ (130g or v ʃJ b v13 t). E s / !. Title Microsoft Word Transition advicedocx Author Rachel Created Date 7/2/ 1259 PM.
I was born on the th of March year 1992 in Davao City We are seven in the family , my mother is working in Canada as an OFW and my fat. Y 䏤 X ̂ Ȃ ڂ̂Ȃ A ~ V t H P L ^17 z ̐ \ ̂܂܂ɁA { ̍ t o A ̂ X ^ C ̂ V t H Ă ߂ɊJ I W i V i ł B g ̖{ ̍ ͏ cm ^ Ƃقړ 10cm B @cm ^ I u ł͖ 肠 ܂ A O ̂ ߃I u ɓ ̍ ɂ ӂ B ʖڈ F 17cm V s ̖ 1,2 { A ~ ŔM ` 悭 A M Ȃ ӂ 炫 ꂢ Ɏd オ ܂ B t ɗ ܂ ɂ ׂ藎 S ł B 1 i ( n ڂłȂ A1 ̔ ^ ɍ 킹 ĉ Ȃ č @) ̂. I G e n e r a l 1 P r o je c t In f o r m a t io n U k r a in e U k r a in e R o a d S e c to r D e v e lo p m e n t P r o je c t 8 5 4 9 U A S ta te R o a.
7 ud j h g ld q d & k x v t x h d h * h q h w v s q r y $ ' h os k d f lq l h p ls wh ud ) x oj r ur lg h d ' h os k d f lg d h iur p 6 r x wk & h q wud o & k loh $ x wk r u & d p s r g r q lfr x d q ) 6 r x ufh $ q q d oh v = r r or j lfl 3 x e olvk h g % \ 0 x vh x p d q g ,q vwlwx wh r i = r r or j \ 3 r olvk $ fd g h p \ r i 6 flh q fh v 8 5 / k wws v g r l r uj $ 1 = % lr 2 q h & r p s. 2 1 0 / 5 4 3 d ?. G } g V t H P L ޗ icm ̃V t H ^1 䕪 j ͕ (130g or v ʃJ b v13 t) 㔒 (80g or v ʃJ b v07 t) 10g 炢 炵 Ă v Ȃ I u I C (70cc) g } g W X(100% ̂ 80 `100cc) ł Ζ ̕ g } g ۂ o ėǂ ł o W ̗t( ܂ ).

A Physics Based Model Of Threshold Voltage For Amorphous Oxide Semiconductor Thin Film Transistors Aip Advances Vol 6 No 3

Rd Sharma Solutions For Class 8 Chapter 22 Mensuration Iii Surface Area And Volume Of A Right Circular Cylinder Exercise 22 2 Avail Free Pdf

Extracted Electron Mobility And Threshold Voltage V Th Of The Gaa Download Scientific Diagram
Vthpl Vs 18cm V のギャラリー

Abcd Is A Rectangle With Sides 18 Cm And 12 Cm As Shown In The Figure Edc Idle Triangle Inside The Brainly In

Solved Problems Spectroscopy

Venus Optics Releases Laowa 12mm T2 9 Zero D Cine Lens For Pl Ef And E Mount Cameras Digital Photography Review

Pdf An Adjusted Constant Current Method To Determine Saturated And Linear Mode Threshold Voltage Of Mosfets
Thioether And Sulfone Functionalized Dibenzopentalenes As N Channel Semiconductors For Organic Field Effect Transistors Journal Of Materials Chemistry C Rsc Publishing
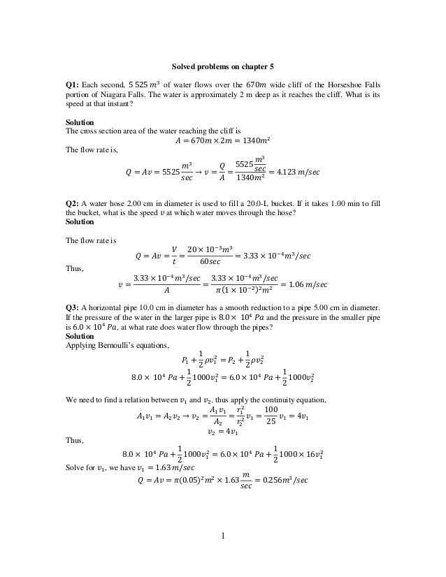
1

Biosensors Free Full Text Multi Wire Tri Gate Silicon Nanowires Reaching Milli Ph Unit Resolution In One Micron Square Footprint Html

Diagon Ally Rain Fashion Paige Denim Military Combat Boots

A Process Flow For Finfets With V Th Tuned By Ion Implanted Metal Download Scientific Diagram

Static Versus Dynamic Respiratory Mechanics For Setting The Ventilator Sciencedirect
Panzer V Panther Ww2 Historical Collection For Kids 5 Cobi Toys

Cardiogenic Shock Severe Chf Emcrit Project

Design And Analysis Of 10 Nm T Gate Enhancement Mode Mos Hemt For High Power Microwave Applications Sciencedirect
Www Hudson K12 Oh Us Cms Lib08 Oh Centricity Domain 402 Ch 15 hw solutions 15 16 Pdf

Crystals Free Full Text Progress In Contact Doping And Mobility Engineering Of Mos2 An Atomically Thin 2d Semiconductor Html

Emdocs Net Emergency Medicine Educationcovid 19 Oxygen Escalation Therapy And Noninvasive Ventilation Emdocs Net Emergency Medicine Education
1d Doped Semiconductors

Breakdown Voltage An Overview Sciencedirect Topics

Illustrative Mathematics

Study Of The Heavily P Type Doping Of Cubic Gan With Mg Scientific Reports

Energies Free Full Text Characterization Of Sio2 4h Sic Interfaces In 4h Sic Mosfets A Review Html

1910 29 Fall Protection Systems And Falling Object Protection Criteria And Practices Occupational Safety And Health Administration

Chapter 17
Vy Canis Majoris Wikipedia

Catheter Ablation Of Ventricular Arrhythmia In Nonischemic Cardiomyopathy Circulation Arrhythmia And Electrophysiology

Trapping Effects On Algan Gan Hemt Characteristics Sciencedirect

Hanmatek 110mhz Bandwidth Dos1102 Digital Oscilloscope With 2 Channels And Screen 7 Inch 18 Cm Tft Lcd Display Portable Professional Oscilloscope Kit With 1gs S Sampling Rate Not For Medical Use Amazon Com Industrial

Normal Reference Intervals For Cardiac Dimensions And Function For Use In Echocardiographic Practice A Guideline From The British Society Of Echocardiography In Echo Research And Practice Volume 7 Issue 1

Nonradiative Lifetime Extraction Using Power Dependent Relative Photoluminescence Of Iii V Semiconductor Double Heterostructures Journal Of Applied Physics Vol 119 No 15
Www4 Uwsp Edu Physastr Kmenning Phys250 Hw30 Pdf

Nonradiative Lifetime Extraction Using Power Dependent Relative Photoluminescence Of Iii V Semiconductor Double Heterostructures Journal Of Applied Physics Vol 119 No 15

Emdocs Net Emergency Medicine Educationcovid 19 Oxygen Escalation Therapy And Noninvasive Ventilation Emdocs Net Emergency Medicine Education

Pdf An Adjusted Constant Current Method To Determine Saturated And Linear Mode Threshold Voltage Of Mosfets

Analog Rf Performance Of T Shape Gate Dual Source Tunnel Field Effect Transistor Nanoscale Research Letters Full Text

Terminal Velocity Of A Bubble In A Vertically Vibrated Liquid Physics Of Fluids Vol 26 No 5

A Horizontal Glass Tube Is Filled With Mercury The Tube Thas Thre

Analog Rf Performance Of T Shape Gate Dual Source Tunnel Field Effect Transistor Nanoscale Research Letters Full Text

Study On The Lateral Carrier Diffusion And Source Drain Series Resistance In Self Aligned Top Gate Coplanar Ingazno Thin Film Transistors Scientific Reports
Doping Semiconductor Wikipedia
Www Dccourts Gov Sites Default Files 19 11 January summarycalendar final report Pdf

Review Sonus Faber Sonetto V Son Video Com Blog

Lithium Ion Electrolytic Substrates For Sub 1v High Performance Transition Metal Dichalcogenide Transistors And Amplifiers Nature Communications
1d Doped Semiconductors
1

Effect Of T Piece Resuscitator Versus Self Inflating Bag On Arterial Co 2 Levels In Preterm Neonates Springerlink

Rectangles How To Calculate The Perimeter And Area Of A Rectangle 2 Easy Examples Youtube
Madasmaths Com Archive Maths Booklets Standard Topics Various Related Rates Of Change Pdf

Respiratory Mechanics In Mechanically Ventilated Patients Respiratory Care

Normal Reference Intervals For Cardiac Dimensions And Function For Use In Echocardiographic Practice A Guideline From The British Society Of Echocardiography In Echo Research And Practice Volume 7 Issue 1

Rd Sharma Solutions For Class 10 Chapter 16 Surface Areas And Volumes Exercise 16 1 Get Pdf

Porous Semiconductor Compounds Iopscience

Respiratory Mechanics In Mechanically Ventilated Patients Respiratory Care

Lithium Ion Electrolytic Substrates For Sub 1v High Performance Transition Metal Dichalcogenide Transistors And Amplifiers Nature Communications
1d Doped Semiconductors

Stochastic Resonance In Mos 2 Photodetector Nature Communications
Panzer V Panther Ww2 Historical Collection For Kids 5 Cobi Toys

8 2 Related Rates

Solved Problems

8 2 Related Rates

أسئلة 1

Pololu Stepper Motor With 18cm Lead Screw Bipolar 0 Steps Rev 42 38mm 2 8v 1 7 A Phase

Volume Of A Cone Mathhelp Com Youtube

Problems And Solutions Manual Manualzz

Field Effect Mobility Extraction In Nanowire Field Effect Transistors By Combination Of Transfer Characteristics And Random Telegraph Noise Measurements Applied Physics Letters Vol 99 No 7

Contact Mechanisms And Design Principles For Schottky And Ohmic Metal Contacts To Semiconductor Nanowires Journal Of Applied Physics Vol 108 No 3

Materials Free Full Text An Overview Of Normally Off Gan Based High Electron Mobility Transistors Html

Study On The Lateral Carrier Diffusion And Source Drain Series Resistance In Self Aligned Top Gate Coplanar Ingazno Thin Film Transistors Scientific Reports
1

8 2 Related Rates

A General Approach For Hysteresis Free Operationally Stable Metal Halide Perovskite Field Effect Transistors Science Advances

Iii V Multi Junction Solar Cells Intechopen

Defect Engineering In Sic Technology For High Voltage Power Devices Iopscience

Image 6 Of New York Daily Tribune New York N Y October 18 1854 Library Of Congress

Energies Free Full Text Characterization Of Sio2 4h Sic Interfaces In 4h Sic Mosfets A Review Html

A Rectangular Sheet Of Paper 30 Cm 18 Cm Can Be Formed Into The Curved Surface Of A Right C Youtube

Pulmcrit Mastering The Dark Arts Of Bipap Hfnc
2 7 Variation Word Problems Intermediate Algebra
1d Doped Semiconductors

Chapter 22 Solutions

Gate Bias An Overview Sciencedirect Topics

Energies Free Full Text Characterization Of Sio2 4h Sic Interfaces In 4h Sic Mosfets A Review Html

Using The Ideal Gas Law To Calculate A Change In Volume Worked Example Video Khan Academy

Volume Of A Cone Mathhelp Com Math Help Youtube

A Search For Intrinsic H I 21 Cm And Oh 18 Cm Absorption Toward Compact Radio Sources Iopscience

Analog Rf Performance Of T Shape Gate Dual Source Tunnel Field Effect Transistor Nanoscale Research Letters Full Text
Electrical Properties Of Silicon Si

An Open Box Is To Be Made Out Of A Piece Of A Square Card Board Of

Pdf An Overview Of Normally Off Gan Based High Electron Mobility Transistors

8 2 Related Rates

Solved Problem 1 An N Channel Mosfet Has An Electron Mobi Chegg Com

Baofeng Uv 5r Plus Qualette V Uhf Dual Band Fm Ham Two Way Radio 18cm Antenna Consumer Electronics Enoxmedia Radio Communication

Should A Tidal Volume Of 6 Ml Kg Be Used In All Patients Respiratory Care

Rd Sharma Solutions For Class 10 Chapter 16 Surface Areas And Volumes Exercise 16 1 Get Pdf

Emdocs Net Emergency Medicine Educationcovid 19 Oxygen Escalation Therapy And Noninvasive Ventilation Emdocs Net Emergency Medicine Education

Predicting Transpiration Response To Climate Change Insights On Physiological And Morphological Interactions That Modulate Water Exchange From Leaves To Canopies In Hortscience Volume 46 Issue 2 11
1
Pdf Problems Circuit Basics As A Review Of The Basics Of Circuit Analysis And In Order Resistors And Ohm S Law Antonio Nunes Academia Edu

Thickness Dependent Electron Mobility Of Single And Few Layer Mos2 Thin Film Transistors Aip Advances Vol 6 No 6

Should A Tidal Volume Of 6 Ml Kg Be Used In All Patients Respiratory Care

Materials Free Full Text An Overview Of Normally Off Gan Based High Electron Mobility Transistors Html

19 Hrs Ehra Aphrs Lahrs Expert Consensus Statement On Catheter Ablation Of Ventricular Arrhythmias Heart Rhythm



