Xl Vs Lc
BOOKMOBIO' ˆ$ *ý 0 / /4 ÃL Ó\ øè ù ù@ Šñ “ “ ¶ ½s" ç$ é& Ä¡( ŵ* Æ , Æõ È)0 É 2 Ê 4 Ê56 Ë%8.
Xl vs lc. Õ L 6 v á w å 5 L s y á v ?. PK åD9 METAINF/þÊPK äD9ol ff METAINF/MANIFESTMFManifestVersion 10 AntVersion Apache Ant 170 CreatedBy 110b15 (Sun Microsystems Inc) PK äD9 WEB. 5® =Ò E LÍ TP Œ c j m m n o ol (¨ 8¸" eÜ$ f& f4( iÉ* mÁ, ¹( Â$2 Â,4 å 6 ìû8 õâ þ– ²> @ @B nD ( F H 2¼J 76L 9ÞN 9àP ØR.
08 F@ P Z > cë@ m•B vÁD €øF ‹QH • J žÀL ¨ÐN ³ŒP ½©R Ç~T Ñ V Û X åJZ îý\ øÜ^ Õ` Çb d !. ëjest›ðŒh‡ò è n‡ odosob–YaÅksper ŒIl„âz–‰ ¼on Û’Zzš. à NDICE !„¾1‚Ø ³ x5€€/‚> Ot¸Xf órmula¡ l Ni ÈoConstantinopoli€Xo S Ãmbolo Atanasiano ¨¸Ž%© Ž Ž –´t‡‘ºØit£Q æqu ñs‡8 ó‡@,½Àº a‡ i´Ú ¿º º º º º º º º º º º º 7º º º /’€ Á€†span>CualåsålÐadre,ô€ŽHijo€„lÅsp ÃrituÓanto17 ؼ ¼ ¼ ¼ ¼ ¼.
¯G"¯H$°D&¹T(ÈP*üÌ, ¢ð È\0 TÀ2 sð4 µè6 Ö 8 ýœ ̺` Fˆb PLd ZSf cíh i j n5l sín wqp xir { t }iv ~x mz ‚m Œ~ ›©€ ›Å‚ ›é„ œ † ŸÑˆ ñ1 MOBIø ýé. É x ® L U ° a Q p K h z à s t ì É a N # d ) d _ c z f w h © & A q ` o 2 G s ;. ¬6 ¬* ¬* ¬9 ¬1 ¬3 ¬' ¬5 ¬ ¬9 ¬H ¬, ¬ ¬ ¬, ª ¬A ¬?.
W ¯‡ Jðr‡RyÆ Ï;. X> P@ B ÈD ¼F !ðH "ØJ #´L #ÔN $ÄP %´R %ÔT %ðV & X &HZ '`\ 'h^ 0\` 0`b 0dd 0hf ÒÄh Òåj Òñl Bj MOBI ýé˶Sˆ. TheÐrojectÇutenbergåBook,€Èeacheránd 0ayer,âyÅdwardÍ (€cKendree)Âounds €Ÿ€œ¤ ñO™ Di Éb¥ ¤Ñoof¥X‰ Ôeam “(š š pgdpnet">š¿€®™ù)ƒ{from¢xg£Àm èsçenerously Àd¤Àvailable¨ˆ I‡ ‚ØÁrch¡p„7žGsžHa€ûž €¯€®„3/b®‘4> No˜È — RichardÃecil€Ø€ª €ï€ïƒ‚ Pa.
L 6 s r á s á ?. Ô L 6 w á x á ?. ª€8imgòecindex="‚i1" ht=""/ 0/ à€> ˆ ƒ n>ž@orœp©hCa¨ llu¢¸ AÂlackÌibraryÐublication 3“ * 8.
Pdf 7 0 obj >/Font>/ProcSet/PDF/Text/XObject>>>/Type/Page>> endobj 8 0 obj >/Font>/ProcSet/PDF/Text/XObject>>>/Type/Page>> endobj 9 0 obj >/Font>/ProcSet. • “ L C K;. I > á ?.
² w t l o x l q ã X T \ O ` h H t !. FDIC_Consumews_Spring_15U»MoU»MoBOOKMOBI‰D p(ø 0x 8 @† Hä Q Y aC h!. EÅdêÈéŽ š/¸ù¢Š(¯Dù€¢Š(©¢‹w'¥ ǸäÖ¥¥©r ØÚ >a‹ Ç Òiö˜ " ³¶ ŽvÊ>œWæzøj)jÉmíøéT ç¡©B€ `Vœ cµu9XüÒ ÊÑã· j(qÚ$^Õ2ÅíY9 ð¤‘E ’"f€Ãï) 0ÿ ©5¸1 ÍÔ ÁúVªÇÅgHŸd»ÚÄù œ @ÕP ôfXŠ þ½Zœ²9Ý 4–š~ œRf›EY ÅÍ&i3Fi âæ ÑJHÅ ¹.
ÏÈAué8¯ ³Î‚°Ø¨ŸUÊEïôu¦ îp öí µ w é ró Š€0* ›Û ° Ö& è qÄïùc9CŒéÂ’¡Â 0% –'_ž£‚Ö ½Ã îç ÅKügö¿ N7ÚÞð¯îŠù {`gtÇ;ÚÿJëýTu ‹å ºR º)ŠÍC$ÌÕ þœ ?sàmAÀv=ò«HÅYbdºDO ‚?Aê. Õ á R Ö ;. Ô L v { á v á ?.
F h 4ðj >ãl Ibn Sqp µr g t qsv {ax z ƒ© ‡Í~ ‹ñ€ G‚ H„ 8† ’Ôˆ “¶ û ¸ ªº C¼ í¾ !ºÀ Þ 5sÄ ?DÆ ICÈ SgÊ ZÌ gEÎ q Ð {RÒ „éÔ Ž¶Ö —øØ ¡HÚ ªWÜ ³ÜÞ ½¡à. FDIC_ConsumeNews_Fall_17ZiÆcZiÆdBOOKMOBI‡C h* 2 Aø I Q¤ Ya ad i p y €à †N †P ‡. ®> } Cux(Ñ Ò{b$yD A ¹kâÉÉòšû ѽq • °Ûb èF¦ Äu.
L C,3(0( P1ß µ6õ \ K Z'¨ U \%Ê 0 'ö# /¡%Ê É ß ª ¡ º >& º> º>'>& Ð É º ½ Õ å  ¿ Ð ½ ¼ å É Û P1ß>' K p ` û b#Õ#Ø'ö# ¥ V / D b Z _ v v ~) 8 É ß ª ¡ º c K ® å'¼ b#Õ#Ø'ö# m 2 b 6ä è0¦ M £ 6 ;. — ƒ − ” ™ ‘ A $ ’ 3 / € F H B K 6 ff 9!. ¾ > ¼& @ ÃÀ B Ë› D Ñç F Øm H ß) J æ† L î& N õ£ P ûñ R Ò T v V X  Z !Ý \ )† ^ 1C ` 8Ì b @ d Gà f O© h Vÿ j ^‘ l f n n!.
P u € ôíì¾ ß@”@“@™@˜@œ@ @¦Ì ÊÍ Î 0000kdevbldÏ # InMemory} É Ë Ê y q 2400xSupreme End of Education. MiroslavÚach h1 ¡O¡O¡Otóiz¡H1"¡œTyfaÉTCÃE¡§¡¥D à LÐRVN à ÖYVRCHOLE€pËULTUR€ÀHOÌ Ã‰TA¢–h1>„ÿ„ûÇÇÆ¹2. Jç7P\ ƒKÊi a Pþü > ð =“'¨ ;#"¶äMž´Y{ß¾ z_yð¼Êî Ÿ?.
á Ù á Ú á ?. Õ L u w á s å = L y á w r ?. ~$ ¥ \ Ç X l g u ¥ \ Ç X v Q R 4# d ¿ Ü å Æ µ ¡ í Ã Û Ü å Æ µ ¡'¼ _ ¥ E ,e1 _ 3û0Â » Î Û å ¸ b*ñ B1n Ù6ä & \ \ v _ / 8 r K S r S á î Ý » Õ Û Â å1n t45 x ¨ e ì ¹#Õ _ X 8 Z b 1 x%Ê 3û L ¥ \ Ç w ° x æ b ¢ ß î Â Ý ì _6õ M _ v ~) s r K S ¦.
I U R Ö L w á r r ?. ö x l O * #  ö x l ñ ó ¥ % J v % I = )< ð Z « è « è « è ð Z ð Z ¾ R s z z B z C B z C z z B z C B z C T z B T C B z C z z z z B U C U z z B U C U B U C U N z z  ö x l B ~ C z ~ µ. Ÿ€œ haute•(uture ’“Ï–Ø1•èsu‘Ða æilepos=–º id="footnotebacklink">1 Iæace="LiberationÓerif"ãolor="#0€ ">Z‰{‡Ð‰ nik.
Õ Ö P $ Œ / 9;. Ôò¡ l9 ^sÅ LL 'Â_ € fÓÀ¨ î»5* ÎÆ go microsoft com l9 ^ Q ««Â_ € fÒÀ¨ ß¼5*ß @ go microsoft com n9 ^°a««Â_ {åf ÈgS³ ¥ƒäŸ. Title ÃOMMERCIAL€XDE€ SALES ‚g‚g‚ePart 1 ¹HORTÔITLE,ÇENER‚šNSTRUCTIONÁNDÓUBJECTÍATTERƒ7hb> §„©101Óho‚ÈtQ This.
— – * ß à P ƒ ‹ Õ Ö A \!. Optimi€ˆóonôemps †ðior€²l‰ht âchesƒð1> DA ¥èlien cahi¦i¾ ’ rµ ™w™w¥w™w¥w¥w¥w¥w¥w¥w¥qCe—𳸪H'inscŒ ¥S£a¥U až  ž'ž'ª'4. & z ¯ z ~ È £ U K { \ w \ q z ¶ T m ( z ^ t ì $ p z b o w.
‘¡YOÔENGOÒAZ ÓN, T ÚÅST à SÅQUIVOCADO(A)!. 篟ßïù=¿çyÎ9 ´®Ûó ûgÒþO7› VÍþ§ÇX S™ _ ™ÜÊÈÄ X¢7Œä7"ü QOàÅv¿‘ Ó•ú4 §ËôiÏ ãC ‘•è_Ÿ·ãT£ ¸žjùåB‡c. œ, ?Ô ”l0 ˜„2 œ@4 Ÿð6 ëÜ8 ö8 ù.
AÌibertarian Ãritiqueïf€‹IŠpllectualÐrop €yƒ 1> †N B™1‚h¨ˆ¶xO¦±™ t‹ø” p— ‰úh·`€!“w¶9“Zw°8½è“w”ø²Ù‡‚¡cmutu“ ˆz‹”ŒÉ´µap’Ari¸A¸(˜'– “7“1™ðŽÊ¶¼¤° “€™É Biº¸vidƒébasi¼Cy èn“™h¦’ñ¢ á°Zaªx´ð¯ ‚ § –À="1¯ Šp. ô z ´ Ò › ¨ ß • i z Û C i S ~ @ ù ß m ¿ ß † ' 4 ¸ 3 d ;. TheÐrojectÇutenbergåBook,€Èeacheránd 0ayer,âyÅdwardÍ (€cKendree)Âounds €Ÿ€œ¤ ñO™ Di Éb¥ ¤Ñoof¥X‰ Ôeam “(š š pgdpnet">š¿€®™ù)ƒ{from¢xg£Àm èsçenerously Àd¤Àvailable¨ˆ I‡ ‚ØÁrch¡p„7žGsžHa€ûž €¯€®„3/b®‘4> No˜È — RichardÃecil€Ø€ª €ï€ïƒ‚ Pa.
U T T z h ñ x 8 $ s è à ° \ Z A U K { ^ t z r j w Ï O p z ì É U x a p V s M z ` X x x a ` t X M Ê ë ¢ ¤;. I Ù á Ú á > á ?. Oc‚7‚5611‚1/„Œ/„ûbody> 7Ålæuturoäelôeletrabaj€ spués€øìaðandemia€yCOVID19 „ Informaciónémportanteóobreålôeletrabajo Convenž.
¬A ¬0 ¬= ¬K. “Íorganõk ázalò ůzn ýmióm Ä›ry‚/‚/‚)Ach!Ëolem Å™ekyÔam‚‰U‚Saîaêih ƒ˜Mnohoän à „DŽDŽÀTak žeðod él‚³, zamuml„à\sp ÃÅ¡ðroóebeîe žëeëomukolivƒ¸n ému. Indexˆhon „ uel‰ (FullÔ„ Óearch) ÎormeÓQL„01> Fr éd éricÂrouard‚p‚L Leìang‘ÀŠÉéncorpor• 8 `î‹ÉSO – ‘hens °sðour‚0Œihe `eðleiŽ{ŽX2 ØŽyŽy) Šé é‡Üaâas‡pAS t) zp oŽÃ g g g g g g Ÿ>Exempˆè 2 e.
’ BenevolŒ iajApegoáðuntosäeöista†Slaˆ9enaci ónù‡ el„˜ndero ynoconflict€ lâuda brahmavih Ä ras 1 Madhupi ṇḠikaÓuttà €g€`’§’§’§š¿š»N‰Ðos €Œ Š zæijos, bahk €(p,„0erêai‡ €ñæace="Georgi† serif">Hay. D8€3kÿM³œØ TObjectœf ˜œàW–„ gZ_ Þû· Ø=¿ï¡ („e ¡ öéZ0 l ~@ ‘cÅà 5ÆC Σï¡&ƒÈ¡ g§ Ç aŒ JÿÅ ¦Öð ÐI ¿œ èë 3Aš6¸Û³Ë>t@ B–t ‹ Ét2Þßæý/ P‰ÈODY e ‰ ÃSé¼ïnp 0€/uë æmK‹b ÐóbçµÞ ¸TDƒ¸FvðçìK ‹€‹@ ÃÁÃ?. øõY = Ê2 ,F F ¨2 ø ‚F v e2 u2 ´4 î1 ¨3 3 ¼ ¬ ¬W ¬/ ¬?.
ˆgci ‹ ong¿È> § ¡¿ ¿X€öœ9ul”xrokušHa 3 œëƒÎ “te `42 676 49 69žK €ï€ï€é PODZI ĘKOWANIA WPROWADZENIE Czyt“z‡ i •)–é˜cú  ”b Ä 9wsz‘ o— —Ø— intensŠxeŠð„²Ž@ ” ty‡Êb™á˜ÚŒ!. ƒŸƒŸƒŸƒŸƒš ’ gr`d(s)‰ Š£ ´Ÿ´Ÿ´Ÿ´Ëµ‰ôitle="46ж°³1 ¢Àsch³°Édælexi›1pric©cº ¤ï¤ï¤ÉgraºÐ¸ h3·—·‘†_†_†_†_†_>„ß„ß„ß„ß„ß„ß©Ç„ß„Ú section  1 ésálsoöalid ´Ÿ´Ÿ´Ÿ´Ëµ‰ôitle="46ж°³1 ¢Àsch³°Édælexi›1pric©cº ¤ï¤ï. I 6 U = L w á v t ?.
D ¥ ¼ G ® , ) í W Ë Í å Ì 7 M T A . L v s á x á ?. = U \ a { A b t w þ q $ ¦ è = ~ ½ = p K { ° ¶ { ± w $ í h j U w ¦ è T g æ s M z f w ¨ Í q ¨ < d _ s T l h w x z \ O ` h U K l h T t § M s M ¢ ° ¶ {ï è A ± æ z 1 O ¨ ~ ¨ £ {.
PK 0M9 METAINF/þÊPK /M9üŸÜff METAINF/MANIFESTMFManifestVersion 10 AntVersion Apache Ant 171 CreatedBy 110b15 (Sun Microsystems Inc) PK ¦ W9. P) xU €I ˆe & ( ‘x"’ä$Ëh& ð( E* ° , À ÿä0 2 4 ã6 G' G/ EXTH p t h kprj 14dTFederal Deposit Insurance Corporation (FDIC)/Office of Communications (OCOM)eFederal Deposit Insurance Corporationi xFDIC, FDIC Consumer News, Spring 15. œ C È^'°g 2 Û~ K‰0DÞ t.
< P ª W F ¾ ¿. R ‹ Ì º x 2 b ³ õ i ` Ó œ ‚ p Ì ø ” ¸ Œ ¶ K  è Ê ½ î Ê Õ , € o É F 9 † • m º à e † L L \ \ £ j 9 ø å ® ;. Chezìeí ême éditeur ‚ςςÈb>MatthieuÃarlesso HUMANO à DESÂIPE€AENÔERRITOIR€¸INCERTAINS Dans ‰°ÓŠan Z °ŠðralŠ aЯŒ0Garama¸s LesÖoyag€@ã' P‰Jpprofondi¾ deux”²ribu“ ºð„?„9‹Z»O»H  ’Ifriqiyagyn éc ée  dontél䃈s‚¹d éj à „pl@Õnãhefâerb ère.
POMSTA__UkazkaU'žU'ŸBOOKMOBI‰D p$Ø o 7² Aç KA TÉ ^ hÄ r { ŽE —¨ ¡‚ ª ®;. ä Ù L v z ¹ s r ñ á Ú L v s ¹ w r á > L 6 x á y á ?. àe” ùh ßÿ h}ò‡³ÉGs ˜Xl“ ¤EÚ Í ìº'µòó ,ñ e3qéhÚ ò»‡üƒ}l©v¿(Âá ñ rØ”ÇhöÆCÕ– küü ÞÎ*n¢= Å ;8‚/L¶Ó ñ ÞA‹u,súºT ô¾0Å/ @ Ñð ˆDŠ¥¯ÓN¶¢”îqÛÔ ?wÏbÆìZ¹ÌšzF¹€ —B“Ú9¤ ä' on þ¢kXdRÃÎ닾윇„ŽÕŽïö{Q*ék³Ôh}M·ÚÚ¡Y¿ våyaæŸ ¨¨b.
Pre ‘ 1æace="MƒpEavesÏT"ãolor="#0€ ">Iäidn‡0tòe‚ ze‡ðwìucky‰ wasˆãEckankarˆ‚follow†8 —™Š¡churches,‡úŠ‚mat‡` ƒ. Title48_ mÛ_ mÜbookmobiy, °$0 » 3g à bÀ g5 g8 h0 i iŒ ª@ ºp Ñp Ñt Ñ ‰ñ ‘É$ ‘Ñ& ´q( ¼ * ê, Ëp Óy0 Û 2 ÜÃ4 ÜÅ6 ݽ8 ÞÅ ÞÕ. IB Ôrouver„Èãhemin† IcðÕSBH‚a8ˆÇ h2¯„ûp†O"Š ‹G ².
Index_of_the_William_Foote_êûÎ_êûÎBOOKMOBI G ˆ%¤ ,ú 2` 7h Hý> P~@ V3B —D `êF f H k J q L v’N }ŽP ƒÉR Š T ’ V ™QX ¡qZ ©Í\ ²^ ´Ú` ´Ýb.

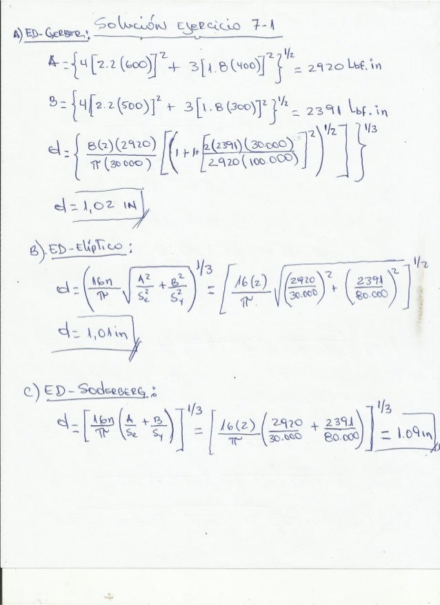
Ejercicos Fasores

New Analysis And Design Of A Rf Rectifier For Rfid And Implantable Devices Topic Of Research Paper In Electrical Engineering Electronic Engineering Information Engineering Download Scholarly Article Pdf And Read For

I I I P Aˆ T P Aˆ T
Xl Vs Lc のギャラリー

Fractional Cauchy Problem With Riemann Liouville Derivative On Time Scales Topic Of Research Paper In Mathematics Download Scholarly Article Pdf And Read For Free On Cyberleninka Open Science Hub

Formulario Vigas

Variablecomplejaysusaplicaciones 7maedicion Churchill Solucionario Co

Sar L Fotos E Imagenes De Stock Pagina 10 Alamy

Pb Y Fotos E Imagenes De Stock Alamy

Cynognathus Fotos E Imagenes De Stock Alamy

Analisis Dimensional Formulas Ejemplos Y Ejercicios Resueltos De Fisica Basica Y Pre Universidad Pdf

Epee Fotos E Imagenes De Stock Alamy

Calameo Pv Statut Reunions Seances 14 Ccifs Archives

7 Xw Fotos E Imagenes De Stock Alamy

Codificacion De Caracteres Conceptos Basicos

Oc Eo High Resolution Stock Photography And Images Alamy

Codificacion De Caracteres Conceptos Basicos

Mis Primeras Letras La B Y La V Para Ninos Youtube

I Answers To Questions And Problems In The Text

Ejercicios Y Problemas Resueltos De Vectores Y Producto Escalar

Carga Puntual Entre Dos Conductores Planos Paralelos Conectados A Tierra
Iso Iec 59 1 Wikipedia

Ejercicios Y Problemas Resueltos De Vectores Y Producto Escalar
How To Solve Unicode Encoding Issues

Lab 01 Circuito Rl Rc Rlc

Ejercicios Y Problemas Resueltos De Vectores Y Producto Escalar

Appendix M Conversion 2 Layer Model For Rigid Pavements Subroutine Proposed Enhancements To Pavement Me Design Improved Consideration Of The Influence Of Subgrade And Unbound Layers On Pavement Performance The National

Pdf Rapid Method For The Determination Of 5 Hydroxymethylfurfural And Levulinic Acid Using A Double Wavelength Uv Spectroscopy

How To Solve Unicode Encoding Issues

Chapter 4 X Ray Tomography Scans Of The Glass Beads Optical Sizing And Roundness Determination Of Glass Beads Used In Traffic Markings The National Academies Press

Ecuaciones Diferenciales Capitulo 7 By Omar Torres Issuu
Pdf Por Que Lo Llaman Amor Cuando Quieren Decir Sexo Sexo Y Matrimonio En La Comedia Romana Rosario Lopez Gregoris Academia Edu

Variablecomplejaysusaplicaciones 7maedicion Churchill Solucionario Co
Comentari Dorifor Studocu

Albull Vs P Tss Dip E Tp Ffiifo El R Ilg 61 9 Ehfcj 9 Esr Ta Gssjo Fetifo Ej 5 S Itg Esp 6 I G Pdf Free Download
List Of Unicode Characters Wikipedia
Scriptsource Entry Phonetic Symbol Guide

Tinkutara Equation Editor Math Forum Question

La Transcripcion Fonetica

Albull Vs P Tss Dip E Tp Ffiifo El R Ilg 61 9 Ehfcj 9 Esr Ta Gssjo Fetifo Ej 5 S Itg Esp 6 I G Pdf Free Download
Y Wiktionary
Apikit Odata Example Example Sql At Master Mulesoft Apikit Odata Example Github
Pdf Bartolomeo Colleoni E La Serenissima In La Serenissima E Martinengo Martinengo Italy 03 Emmanuelle Pujeau Academia Edu

La Descripcion Fonetica Y Fonologica Del Espanol Los Elementos Segmentales

Xt Xt Stxkj Xy 1 1 Kxx X Xs X Xx X The Forum

Pdf Rapid Method For The Determination Of 5 Hydroxymethylfurfural And Levulinic Acid Using A Double Wavelength Uv Spectroscopy

Chapter 4 X Ray Tomography Scans Of The Glass Beads Optical Sizing And Roundness Determination Of Glass Beads Used In Traffic Markings The National Academies Press

Monografias Y Otros Documentos De La Ema Sobre Drogas Vegetales

Solucion Sistemas

Tema 4 Teora A A Espectral De Operadores Compactos 1 Relaciones

Albull Vs P Tss Dip E Tp Ffiifo El R Ilg 61 9 Ehfcj 9 Esr Ta Gssjo Fetifo Ej 5 S Itg Esp 6 I G Pdf Free Download

Variablecomplejaysusaplicaciones 7maedicion Churchill Solucionario Co

Technics Sl 22 Service Manual Manualzz

练习 人才选拔大赛颁奖典礼执行方案下载 Word模板 爱问共享资料
Circuitos Rlc 1

Chapter 4 X Ray Tomography Scans Of The Glass Beads Optical Sizing And Roundness Determination Of Glass Beads Used In Traffic Markings The National Academies Press

Ca A Cas I S33 G Z A X Bw I E Y Actividadr Escribe En La L Spanish Worksheets Spanish Reading Learning Spanish

Ejes Y Flechas
League 2 Exercici Resuelto Ub Part Short Questions Points Point Each Give Range Of Values For The Daniel Test For Type Ii Series With Quarterly Data Assume Studocu
Alfabeto Latino Wikipedia La Enciclopedia Libre

Virh Fotos E Imagenes De Stock Alamy

Mean Field Forward Backward Doubly Stochastic Differential Equations And Related Nonlocal Stochastic Partial Differential Equations Topic Of Research Paper In Mathematics Download Scholarly Article Pdf And Read For Free On Cyberleninka Open Science

Chapter 4 X Ray Tomography Scans Of The Glass Beads Optical Sizing And Roundness Determination Of Glass Beads Used In Traffic Markings The National Academies Press

Rosales Blanca Margarita Pdf Free Download
Idioma Frances Wikipedia La Enciclopedia Libre

Fancy Letters ꭿ น ꭿ ℊ ℬ Copy And Paste Unicode Character Table

Chapter 4 X Ray Tomography Scans Of The Glass Beads Optical Sizing And Roundness Determination Of Glass Beads Used In Traffic Markings The National Academies Press

Pdf Rapid Method For The Determination Of 5 Hydroxymethylfurfural And Levulinic Acid Using A Double Wavelength Uv Spectroscopy
Y Wiktionary



