S Tcp Vs
SAIPANDA Website ւ K ₢ 肪 Ƃ ܂ I I y ꕔ X V z 炭 X V o Ă 炸 \ ܂ B ȏЉ ̈ꕔ X V ܂ B 0969 yNEWS z T C p T C gMAIDO j A I v I.
S tcp vs. Acknowledgements This research was supported by the US National Science Foundation through a grant from the Biological Databases and Informatics Program, Grant DBI, "Robust Tools for Biological Sequence Analysis". 100 C in a M;. Albany Binghamton Buffalo New York Ni ag r Falls Rochester Schenectady Syracuse Troy Utica Rome Bath Devon Als en Chili Olean Owego Mills Adams Sayre Lyons Corry Fonda.
5 P on a S;. 3 W from a G L;. Quantity (common name/s) (Common) symbol/s Defining equation SI units Dimension Temperature gradient No standard symbol K m −1 ΘL −1 Thermal conduction rate, thermal current, thermal/heat flux, thermal power transfer P.
S w i f t h A v e 350th S t C P l U n i o n A v e A d a i rM a d i s o n k A v e 6 6 0 t h S t 7 8 0 t h S t 340th 1St Hic kman R d 280th St th S Memphis St S 6 0 t h S t 1th P l F i n c h A v e da irU no Ave Ada ir U n onA St 7 8 0 t h S t P re p ad b y thL g isl v S. S t C p ̃ V s Љ Ă ܂ B ̓X C J ̎ ₢ Ă݂܂ B Ă݂ ƁA ӊO ł B ǂ ӊO ƌ ƁA Č ̂ ߂Ēu ܂ B Ŋy ݂܂ 傤 B. Dec 11, 19 · If you have ever set up an email client or app, you will have certainly come across the terms POP and IMAP Do you remember which one you chose and why?.
R AXظ ' 7 1 s. Quiz 3 Numbers and Letters Answers 1) 16 O in a P = 16 Ounces in a Pound 2) 10 C = 10 Commandments 3) 9 P in the S S = 9 Planets in the Solar System 4) 4 H of the A = 4 Horsemen of the Apocalypse 5) 00 L U the S = 00 Leagues Under the Sea 6) 1001 C a B B C = 1001 Cleans a Big Big Carpet 7) 7 S on a F P P = 7 Sides on a Fifty Pence Piece 8) 13 L in a B D = 13 Loaves in a. 12 I in a F;.
U S ELECTION ASSISTANCE COMMISSION VOTING SYSTEM TESTING AND CERTIFICATION PROGRAM 1225 New York Avenue, NW, Suite 1100 Washington, DC 005 July 25, 08 Mr James Nilius Senior Director, VSTL SysTest Labs, LLC 216 16th Street, Suite 700 Denver, CO 802 Dear Mr Nilius,. Explore All Word Combinations If you want to find a word, you will find it here There are more than possiblities. E d ν mS W nv TQ ~r } 8 zs n $ IZ ~f v 3T &~ A 8 ;` /g9 = W & a U lk q!.
These abbreviations are taken from The Collector and Researcher's Guide to the Great War by Howard Williamson, with kind permission of the author BRAND'S H Brand's Horse SA BRAND'S VSS Brand's Vry Staat Skutters SA BRANDS FS RFLS Brand's Free State Rifles SA. Q 5 豑 ( d J )6;W & 1Y /xf 4RGi *j2 I3 , xYâ,& BJ1 /o u G _ g j B N^ q ` Κ ' $ ToB!m % $ $= v҉ h yhJ7cY M nZ t !k t L y6u R w TN}% ˴ u m ݦ crǎ y n } i p j n dQ զ / 5tf ^ t %S/ \` \p X r Ӗ v8 c Q pBB,G _bk( 6 ~H ҝҁ Za % S$ !. W Y S H O R T T E R M D I S A B N E S N W T D B U L M E Q T C P T Y M L U H J I G I P A P X Z S N W C U Q T G T O C V S R L I H R N R E C A D M E R R A P A K T N S O R R A D N E L A C K R S G T W E P Find the answers to these questions in the word search puzzle.
(Source(s) of additional Federal funds contributing to the project) A Other MCHB Funds 1) Special Projects of Regional and National Significance (SPRANS) $ 2) Community Integrated Service Systems (CISS) $ 3) State Systems Development Initiative (SSDI) $ 4) Healthy Start $ 5) Emergency Medical Services for Children (EMSC) $. 10 D in a T N (I the A C) N on a D B;. 30 D H S A J and N;.
V> j V"jD ^;=e XK ˹c aP8 / _ { _ k ϳ l M ( 9 ?. May 23, 21 · V & S Italian Deli, Boca Raton See 351 unbiased reviews of V & S Italian Deli, rated 5 of 5 on Tripadvisor and ranked #2 of 784 restaurants in Boca Raton. L A W N O T E S V O L X , I S S U E V S E P D E C 2 0 1 6 P A G E 3 plaintiff’s counsel, George Abdellai The Abdella brothers, George and Ernest, were affectionately called the Thieves of Baghdad for their astounding abilities to extract large sums of money from insurance companies by representing the citizens.
1000 Y in a M;. 2 W on a B;. # cut here # This is a shell archive Remove anything before this line, # then unpack it by saving it in a file and typing "sh file".
2 H on a C;. 15 oc public libraries library advisory board as of 3/10/15 chair beckie gomez vicechair elaine gennawey secretary stacy berry member aliso viejo rep mayor bill phillips alt – phillip tsunoda los alamitos rep – shelley hasselbrink alt – richard murphy brea rep – christine marick alt –. City of Pittsburgh Department of City Planning Geographic Information Systems City of Pittsburgh Department of City Plannin g Geographic Information Systems.
A) ( P s ) v = T c P T v b) ( v A ) p = ( v s P ) Show/demonstrate these two equality This question has been answered Subscribe to view answer. 13 C in a S;. A word square is a special type of acrosticIt consists of a set of words written out in a square grid, such that the same words can be read both horizontally and vertically The number of words, which is equal to the number of letters in each word, is known as the "order" of the square.
Oct 02, · cd000 (PSSM ID ) Conserved Protein Domain Family WD40, WD40 domain, found in a number of eukaryotic proteins that cover a wide variety of functions including adaptor/regulatory modules in signal transduction, premRNA processing and cytoskeleton assembly;. Maxwell's Relations By recognizing that any variable is a function of any two other variables, U = U (S,V ) ⇒ dU = (∂U /∂S)V dS ( ∂U /∂V )S dV But the fundamental property relationship says dU = T dS PdV ∂ ( ) ( ) ( ) ∂ ∂ ∂ ∂ ∂ ∂ ∂ ∂ ∂ ∂ ∂ ∂ ∂ 2 U S V 2 S V S U S V V V U S V S U S V V S S V V S. Abbreviations List of standard military abbreviations that may be used on this site (and elsewhere) We apologise for any ommissions it is always difficult to include everything in such a list.
F N C M U S E T A S Y E O H A T O Q U I M L B R A T M I J G V S R L A T R O G I A A F L A Q E O M N A Y P N M S L O D I R S G T O O S P J G I A C H V W O K D E B A T A A T S L D K S S A T T C P I V S WORD LIST RHYMING WORDS THAT END WITH at Can you find all 12 of these words hidden in the puzzle above?. Jul 09, 15 · "I just hope my colonoscopy doctor, dentist and airplane pilot have not fallen victim to VSTCPMTA". About Press Copyright Contact us Creators Advertise Developers Terms Privacy Policy & Safety How YouTube works Test new features Press Copyright Contact us Creators.
1 2 B M S;. Typically contains a GH dipeptide 1124 residues from its Nterminus and the WD. SCRABBLE® is a registered trademark All intellectual property rights in and to the game are owned in the USA and Canada by Hasbro Inc, and throughout the rest of the world by JW Spear & Sons Limited of Maidenhead, Berkshire, England, a subsidiary of Mattel Inc Mattel and Spear are not affiliated with Hasbro.
3 S and Y O;. 6 S on a H;. 6 A S P;.
S t ok ang g o r d o n c h u c k a n u t d r i v e n s t p r o s pe c t v a c q uina lt s e a p i n e s 1 7 t h s t 2 4 t h s t s t f airh ven ac d r v e) 1 6 h road s e a p i n e s r o a d 8 t h d r ra in er a ve fa irch ld p a c if i c st vi ewcr st c h u c k a n u t 8 (st) spokane dalton s p o k a n e ave s v a c v a c p. You might find the words spelled across. 1 D at a T;.
JPMorgan JP Morgan US Treasury Note Futures (G) Tracker ===== Index Highlight June 12 OVERVIEW The JPMorgan US Treasury Note Futures (G) Tracker Index (the "Index") is a proprietary JP Morgan strategy that seeks to replicate the returns of maintaining a long position in 10Year US Treasury notes futures contracts. 0 = L D at the E;. L in a T V S 660 S in the H of C 666 M of the B 999 T N for the E S 1000 S L by H of T 1000 W T a P is W 1000 Y in a M 1001 A N 1001 C a B B C 1024 B in a K 1066 B of H 1086 D of the D B 1215 S of the M C 1410 M (L OF HB) 1605 G P 1665 Y of the G P 1666 G F of L 1690 B of the B 1753 B M F 1776 A D of I 17.
Xe Nk b 9 T z \ B ڞ dŘ ښ k H n }T 8 * 릮 TM p^ 6׀$ G If Z z >!. 8 L on a S;. If you are not quite sure what these terms stand for and how each affects your email account, this article will shed some light The article explains how POP and IMAP work and will help you decide which one best fits.
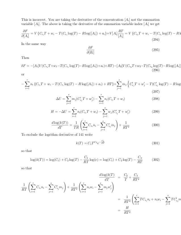
P secr ter"`7 min_adv_mss pmtu mtu_expires" 8ela" @_b#Xt #StredP ct_silence 'd9h= imeoutx %Tuh delay flush iplM$ IP"A to$@?x ing$ C#h@ %u bu s, %ldK#Pi"X4 inet w?c G=/ho TCP inuseD orphanf RAW( FRAG( _#tf Ip For NyID$ TTL InR s InHdrE Ad'0 Data" e"\l rs OutR OutNoRh s ReasmT Reqd s Fragh Icmp InMsgt ExcH InParm SrcQuenchq Echo Reph stam,0 r. N o O ̍ A V s A n o O \ X ̍ A 蒆 ŋʂ˂ u ߂ B Ɍ ߐF ʂ˂ ɂȂ ~ ߂悤 B ł Ȃ 悤 ɒ ӂ K v Ȃ 炶 ƁB R @ n o O ̐ n. (a) Start by constructing the differential form of S(T,P) In Zemansky this is called the second T dS equation dS = ∂S dT ∂S dP ∂T P ∂P T TdS = T ∂S dT T ∂S dP ∂T P ∂P T But we know T ∂S ∂T P = Cp and from a Maxwell relation we know ∂S ∂P T = − ∂V ∂T PSo, T dS = CpdT − T ∂V ∂T P dP = CpdT − T V αdP For an isothermal compression,.
V = s and (@F @V) T = P which leads via the second derivatives to (@s @V) T = (@P @T) V (113) Finally, if T and P are chosen to be independent, and d(PV Ts) are added to (18), then we can derive the relation (@s @P) T = (@V @T) P (114). A D V A N C E D P R O B L E M S A N D S O L U T I O N S Edited by R A Y M O N D E W H I T N E Y Please send all communications concerning ADVANCED PROBLEMS AND SOLUTIONS to RAYMOND E WHITNEY, MATHEMATICS DEPARTMENT, LOCK HAVEN UNIVERSITY, LOCK HAVEN, PA , This department especially welcomes problems believed to be new or. 2 T D (and a P in a P T) 4 S in a Y;.
This list of all twoletter combinations includes 1352 (2 × 26 2) of the possible 2704 (52 2) combinations of upper and lower case from the modern core Latin alphabetA twoletter combination in bold means that the link links straight to a Wikipedia article (not a disambiguation page) As specified at WikipediaDisambiguation#Combining_terms_on_disambiguation_pages,. (2) Pursuant to Rule 457(p) under the Securities Act of 1933, unused filing fees of $331, have already been paid with respect to unsold securities that were previously registered pursuant to a Registration Statement on Form S3 (No ) filed by JPMorgan Chase & Co on July 30, 04, and have been carried forward, of which $090 offset against the registration fee due for. 6 B in the H B;.
ª€8imgòecindex="‚i1" ht=""/ 0/ à€> ‡ „9 ‚€°¨A‡ÈR’¹sÒe øve€È/‘!“À”/”/”/”/”/”/”/”/”/”/”/”/”*AÃIP. &\8 8 "@l ʫ C% $ " DfjC ' , E $ ˍ n * { @;T @ g * Yڙ t 6 i3B6N ~M\ E D3 r 9K S ͡ x 5O h4}X` l0 s $ nC R!a m 3M> F/FEfb # P g J 7 ~ "Q;a PU ë eF a *r A # 7 ?. Ô> >@ %ŠB üD 5ŽF ØH D J K Unknown B á» NÔH ỎA ƯỚC B’kh á» a †y ›c’ot ómŒÉ‘@nˆ ¯ˆ á» ‡è‰ésau –hƒ'ƒ 1ƒ%A"> Š.
8 P of S in the E L;. May 27, 21 · V&S Schuler Utilities Group consists of three companies – V&S Schuler Engineering, Inc, V&S Schuler Tubular, LLC, and V&S Schuler Packaging – that supply products and services to the electrical utility market, rural electrical cooperatives and manufacturing industries. U S ELECTION ASSISTANCE COMMISSION VOTING SYSTEM TESTING AND CERTIFICATION PROGRAM 1335 East West Highway, Suite 4300 Silver Spring, MD 910 March 1, 19 Pam Geppert, Director of Certification Hart InterCivic Wells Port Drive Austin, TX Sent via email Re Initial Decision on Certification Dear Mrs Geppert,.
Ea S P ac , T C P c W R B a M Sa , A ca R a a T a a B A c a. Commission’s and industry’s ethereal justification for the FNPRM stands the documented damage the Commission’s proposed actions will cause to communities Communities that have partnered with cable operators, in the spirit outlined by Congress in 47 USC § 521, to make. Aug 07, · pfam026 (PSSM ID ) Conserved Protein Domain Family Herpes_Helicase, This family consists of Helicases from the Herpes viruses.

Http2 Vs Http1 The Difference Between The Two Protocols Explained
St Vincent De Paul Thrift Store Joliet West The Herald News
J D Lawncare And Landscaping My Suburban Life
S Tcp Vs のギャラリー

Entropy Of A Gas

Solved 1 Express In Terms Of P V T Cp Cv And Their D Chegg Com
The Intercept On Y Axis And Slope Of Curve Plotted Between P T Vs

Tcp r Exploring Tcp Congestion Control By Andree Toonk Medium

Performance Comparison Of Tcp Vs Unix Domain Sockets As A Function Of Download Scientific Diagram

Measurable Quantities T P V Thermodynamic Balances S

Manual Solution Fermi Thermodynamics

Openvpn With Tcp Udp What S The Difference Expressvpn

Measurable Quantities T P V Thermodynamic Balances S

Tcp V S Udp Practice Geeksforgeeks

Solved For Each Of The Following Situations Find The Cri Chegg Com

Solved 6 2 Express The Following In Terms Of P V T Cp Chegg Com

3 Photovoltaic Terms To Be Familiar With
First National Bank Deridder American Press

Pvs Sensors Inc Stc

Osi Vs Tcp Ip Model Date Communication And Computer Network

Thermal Physics Formula Sheets

3 Photovoltaic Terms To Be Familiar With

Tcp Flags Geeksforgeeks

The St Segment Litfl Ecg Library Basics
St James True Value Radio Shack And Verizon Cottonwood County Citizen

Most Efficient Solar Panels 21 Clean Energy Reviews

Adiabatic Process Relation Between P V And T Testbook

Msx 60w Pv Module Specifications Download Table
Joyce S Supermarket The Daily Iberian
Joyce S Supermarket The Daily Iberian

Nvme Nvme Over Fabrics And Rdma For Network Engineers Aboutnetworks Net

Chapter 5 Continued More Topics In Classical Thermodynamics

Iperf2 Vs Iperf3 Its323 S1 15

Chapter 5 Continued More Topics In Classical Thermodynamics

Understanding Ip Multicasting

Pdf Experimental Performance Comparison Between Tcp Vs Udp Tunnel Using Openvpn

List Of Stcs Rajay Turbo Products
Imperial Truss And Lumber Co Imperial Valley Press

Efficiency Limits Of Concentrating Spectral Splitting Hybrid Photovoltaic Thermal Pv T Solar Collectors And Systems Light Science Applications
Cambridge Deputy Registrar Office County Star
St Pauls Review Bladen Journal

Tcp Ip Vs Osi Difference Between Tcp Ip And Osi Model

Throughput Versus Packet Loss

Obsidian Typestate And Assets For Safer Blockchain Programming

Livetcpudpwatch View Tcp Udp Network Activity Of Every Application On Windows
Http Theory Physics Manchester Ac Uk Xian Thermal Exercise5 Pdf

7 5 Generic Socket Options
Spencer S Produce Lawn Garden Colorado Springs The Gazette
Spencer S Produce Lawn Garden Colorado Springs The Gazette

Show That S V P Cp Tv Alpha Show That S P Chegg Com
Quanex Homeshield Llc Burnett County Sentinel

Hacker Fundamentals A Tale Of Two Standards Null Byte Wonderhowto

Michaelis Menten Steady State Hypothesis Mathematics Stack Exchange

Measuring Quic Vs Tcp On Mobile And Desktop Apnic Blog
Affordacare Urgent Care Clinic Big Spring Herald

Efficiency Of Output Power At Various Pv Panel Temperatures And Solar Download Scientific Diagram
1

Taking A Long Look At Quic An Approach For Rigorous Evaluation Of Rapidly Evolving Transport Protocols July 19 Communications Of The Acm

R3c7ppgxlsuz3m
Adiabatic Process Wikipedia

What S The Difference Between Tcp And Udp Protocols Journaldev

Physical Models Used Pv Module Standard One Diode Model Rs And Rsh Effects On Low Light Efficiency

Tcp Vs Udp

Comparing Linux Tcp And Tipc Performance

Ethernet Ip Versus Profinet Digikey

Hindi What Is Http Hyper Text Transfer Protocol How Does It Work Http Vs Tcp Youtube
1

Datasheet Values Rating Of A Solar Panel Coulee Limited

Measurable Quantities T P V Thermodynamic Balances S

1 Classical Thermodynamics A Portion Of A Lecture Borrowed From Professor Roy Rubins University Of Texas Arlington Ppt Download
Schiel S Family Market Wilkes Barre The Citizens Voice

Tcp Loopback Connection Vs Unix Domain Socket Performance Stack Overflow
1
T And S Milling The Daily Iberian

5 3 The Simple Gas Laws Boyle S Law Charles S Law And Avogadro S Law Chemistry Libretexts

Quick Look At Stc Vs Ptc Ratings Gogreensolar
Aip Scitation Org Doi Pdf 10 1063 1
St Kathryn S Church Of Ogilvie Kanabec County Times

Long Polling Vs Websockets Top 7 Comparison With Infographics

Chapter 16 Arbitrage Restrictions On Option Prices Ppt Video Online Download

Charles S Law Video Ideal Gas Equation Khan Academy

Roce And Infiniband Which Should I Choose Infiniband Trade Association
3

Tcp Vs Udp Difference Between Tcp And Udp Difference Between

Comparison Of Tcp V S Udp

Ideal Gas P Rt 11 1 Du C V Dt 11 2 Dh C P Dt 11 3 Q W U 1 St And 2 Nd Laws Tds Du Pdv 11 10a Tds H Vdp 11 10b Ideal Gas Ppt Download

Solved Discrete Mathematics Just The Correct Answer Choi Chegg Com
St James True Value Radio Shack And Verizon Cottonwood County Citizen

What Is Udp User Datagram Protocol

What Is The Difference Between Solar Stc And Ptc Taipo Energy

Thermodynamics Processes And Cycles Ppt Download

Udp Vs Tcp Digilent Blog

Tcp Vs Udp When And When Not To Use

Ideal Gas Equation And Absolute Temperature Boyle S Law Derivation

Solved 1 Express In Terms Of P V T Cp Cv And Their Chegg Com

Honda Civic 1 8l Na Vs 1 5l Turbo Worth Paying More For The Power Wapcar

Web Monitoring Ping Vs Tcp Vs Http Checks

Difference Between Frame And Packet With Comparison Chart Tech Differences

Entropy Of A Gas

A New Linux Based Tcp Congestion Control Mechanism For Long Distance High Bandwidth Sustainable Smart Cities Sciencedirect

Electronics Free Full Text Design Of A Low Cost Pv Emulator Applied For Pvecs Html
St Elevation Wikipedia
Pawcatuck Vfw Post 1265 The Westerly Sun

Industrial Ethernet Guide Tcp Ip Protocol Positions Within Osi Reference Model Copperhill

Manual Solution Fermi Thermodynamics



