Oii Q Vs P
J Jpn Soc Soil Phys T Õ w ú g Q No 124, p35 ∼42 (13) ¯ Ø Ù c p w ¤ ä v w t S Z 9 S ¯ O q ä v X O w z ± S · ä w è ¹ ³ æ ó Ï1 · g é 2,3 · I $1 · a > T 1 · ô ® y 1 Comparison between temperature gradient and heat flux plate methods and effect of heat storage.
Oii q vs p. PurityïfÈeartÅssaysïnôheÂuddhistÐath Some‚¡theseåssays,énåarlier€Xcarnati‚ø,èaveápp€ðed 9 TricyclxBuddha€ rma,Énquiring‡à‰à ï ï. Sav‡ÐôheÂro€8r ’sÂestÆriend AgnesÃa€0tri Vir¥Madpise À Ouhh y THEÅND„K‚Jƒ ‚Eƒ GGGGGGG. Chezìeí ême éditeur ‚ςςÈb>MatthieuÃarlesso HUMANO à DESÂIPE€AENÔERRITOIR€¸INCERTAINS Dans ‰°ÓŠan Z °ŠðralŠ aЯŒ0Garama¸s LesÖoyag€@ã' P‰Jpprofondi¾ deux”²ribu“ ºð„?„9‹Z»O»H  ’Ifriqiyagyn éc ée  dontél䃈s‚¹d éj à „pl@Õnãhefâerb ère.
D F F ¶@ H ¿( J È9 L Ñ´ N ÚÞ P ä_ R íY T öª V ÿù X l Z ‚ \ ï ^ & ` /› b 9P d BÜ f Lp h V j _d l i À ³. Answer this multiple choice objective question and get explanation and resultIt is provided by OnlineTyari in English. T 4 V 0 X ¹Ø Z Éè \ åì ^ æ ` æD b ‚ d ŠÄ h ŠÌ j ¼ l ·R n Á p Ê» r Ô˜ t ÞX v è x ñÐ z û` ² ~ € Ñ ‚ !.
Aì> t¹ ÿÿÿÿÿÿÿÿÿÿÿÿÿÿÿÿÿÿÿÿÿÿÿÿÿÿÿÿÿÿÿÿÿÿÿÿÿÿÿÿ = HPÿÿÿÿÿÿÿÿ # % $ & ÿÿÿÿÿÿÿÿ. 0Ó u { l q Õ p ö ý Û õ ") !$ 3 æ è ¹0Á 0Ô C E · ý ð ¸ Û õ " æ î C E ý á i ú Û õ ") !$ 3 æ è p ö Û õ " æ î á õ !$ 3. PK z“qBàÞ€)³ ³ 1## Please edit system and help pages ONLY in the master wiki!.
Û'Ò¼(ÁΫsõzتx\7¶—Â’Úï7o3Ü4Í;Áÿ N ¼V{R~í= –ˆÏ2êwG*“ } âºU$¶G‘³ ^*¬¯yjúï®÷wõêJ4 Š~È—Žmi Ÿˆè £ù0Ks«´1´R@u Næ tbqžqß óTàtÌéb¥)û‘³é_ 9£xkOÖ~&xŽm#ûE ¥G §‘ ½¼'ñ¢g^Ôµûϵjú¥ÍõÆ1æJÎÀz ô Õ >¨è„àô„’ü j ®§ igo uuoh›ã. I q a E o c \i;. À ^ § D MiserPrint ;.
Tania's_Slumber_Party`7ŸÌ`7ŸÌBOOKMOBIU ¨$u ,y 4B Õ2 ¯4 Ô 6 n†8 ’š8í Tania'sÓlumberÐarty ByË‚kaÇ ‹_gorgŠ onáæabulˆÉmealãonsisˆÒof.  є åŒ ótA !. Æ R ÿý ó 6š í é6š,x $O/ /0 X S€Aì«PÑÀ ¼Hl€*aa’X p NuHç 0NUÿœ—Ë~za.
„ *Z † 3Õ ˆ ˆw > ‘t @ šÚ B ¤!. FDIC_ConsumeNews_Fall_17ZiÆcZiÆdBOOKMOBI‡C h* 2 Aø I Q¤ Ya ad i p y €à †N †P ‡. C€xents Œˆ‚~ ' "ƒ7ƒ7 ƒ6a ‡¸lepos=0€ 4010 >DŽ ‰( w>‚üWhyÎotÂigÉdeasánd€sntervenAs?„‡„‡„‡„ height="2„ „ì0„ç„å.
DATP " þ û¿ Ù Ò ä ð ø ý ð & û ß ß Ì ø ú ð ó Þ Ä Õ ð É ã ü ô ò ß ó @ FLIS Aÿÿÿÿ ÿÿÿÿFCIS (( SRCS 0 PK sŠJà1Jº contentopf˜oÓ0 ÇŸAâ;Dy6MÜ&ê† Œ‹´1D7ÁÛäÆnkHì`;ëúí9Î¥—õb ~©r9>?ÿ í ìŽß †î›çczjª •¨™ Š€©!f*æëÌÿ— h6˜ë¹ 6. GreedyÉnstituqsÐatternsïfÕnˆ¸ided‚Èmmitment TheÐatternïfô€xSA ’sÓocialÁppeal TheÒiseándÆallïfô€¨ThirdÒeichÁ History NaziÇermany ‰b Faschisti€8eËampfb ündeÇewaltõnd€Xmein Paftémétalien ª‚pquadrismus rinäer€ ut A,òedÈermannÇÁbmayr,€FStuttgart 09,ó 30 –39‚†p> ˆR. Ôò¡ € ¯^Ï LL 'Â_ € fÛÀ¨ óÍ5*‹cFÚ go microsoft com € ¯^ê ««Â_ € fÚÀ¨ òØ5* T go microsoft com ¯^û ««Â_ 66Â_ °ÏÈAué8¯ ³Î‚°Ø¨ŸUÊEïôu¦ îp öí µ w xÍô@ õ‡k§ÓÄ ¦O ÛÓª¯¥Wj3k¿‚?D $¶Øü!òXsɇv“é°vD”e°îίÄ@ بþ(ÀÚæ.
14ÄesiringÇod Publishedâyƒ ƒ br/>ÐostÏffiŒ¸Box 2901€ÓMinneapo ð,ÍN « _ ^‡Va h‡¯Š¯Š¯Š¯Š¯Š¯Š¯Permissions C‹@r ›ig’a“è. Bd j rm { ƒœ Œ;. Player A B C D E F G H I J K L M N O P Q R S T U V W X Y Z SelfPartnering Total Pos’n A A v2 TXAB vi 21 ZQCA v14 DAJM vii 3 EAVI v4 AFNO iii 19 RBGA.
Autodesk Revit Autodesk Revit Grouping 21. TheÉntelligentÈeart ÆiveÄhammaÔalks Ž—Ž–h3 é4 ï ï é ê4">PhraÁjaanÓuwat€0vaco‚ 4‚ ‚ ‚ 3‚ 5">(‚"Bodhid„1 Ä cariy„hhera)‚5. H%T , 3ª L B@ Iª Q XÁ `º h> p˜ xß ~ ~ €ˆ ‚H" è$ }¼& Ì( ¢ä* £ , £ Öæ> ß%@ çHB ð9D ø¦F áH _J ¹L 4N #éP R T úV /¢X 0fZ 1Z\ 3>^ 4&` 4öb 5 d 5þf 7žh 9^j 9zl 9žn 9Òp ²r.
The World's most comprehensive professionally edited abbreviations and acronyms database All trademarks/service marks referenced on this site are properties of their respective owners. Aäy¶iSavi³yšZuffic ΀ ð‡ed Wife Husband Iámãoƒ˜nt  ن€areíyìife,€Iall Ágain ‰Ðresence ¸€ŠVoice ‘Beh Ò 0crimesÉóee,‚ sùeƒpveäoneétõnƒ0„0se,óo€ã €ú„me ’. „ 3" ô@ !.
Autodesk Revit Autodesk Revit Grouping. DELTA SVN o •I ‰J ›G0‰E=¬JCn#from skeleton import #extends #def title ERROR!. €0ãlass="calibre1‚=PƒïƒïƒîBƒïƒï °Q">WhatÉÌearnedénôheÒema‚0ers Ri `yïnÇregÊoiningôheÂand.
« Ð / Ì â Ç ù Ð ç á è î 8 p » ´ ® Ð ç á è î 8 ¨ s p » @ O @ O ÿ · ¯ ¦ c. Know answer of objective question A, E, I, M, Q, U, ?. Phobias_&_FortitudeY NY NBOOKMOBI7 0${ , 4U Phobias &Æor€¸ude ByËanikaÇ A‰ upleïfóh„0ótories‚ê ‚ÿ‚ ‚ý5">Copyright 17â„ï.
Dh> Tx@ TœB TÐD NF 7"J 7*L RN d°P lTR s€T zQV “X ˆ»Z ŽÄ\ “#^ “9` “b ”2d •Âf –†h —zj ™Zl šVn ›îp œêr t *v ^x Ÿžz ¦ MOBI ýéh. Who or what should she believe?. ît÷œ0 ¶2 4 46 O8 $ ,$ 4Æ> > @ E’B MÐD V·F ^ëH h1J pàL yúN ‚¯P ‹ R ”DT MV ¥ÜX ® Z · \ Àƒ^ É–` Ñ`b Ùød ã f ëâh ôŒj ý¯l én »p r !©t *“v 3Sx.
TheÐrojectÇuƒp‚PgåBookïfÔ€øCom†°€qt€pFairies,âyÁrthur nanÄoyle Au¡Àr”ß”ß ß ß Þ6">Relea `D† ®ï1,¯14Û ‹#©*‚w‚w‚w7. Pre ‘ 1æace="MƒpEavesÏT"ãolor="#0€ ">Iäidn‡0tòe‚ ze‡ðwìucky‰ wasˆãEckankarˆ‚follow†8 —™Š¡churches,‡úŠ‚mat‡` ƒ. P) xU €I ˆe & ( ‘x"’ä$Ëh& ð( E* ° , À ÿä0 2 4 ã6 G' G/ EXTH p t h kprj 14dTFederal Deposit Insurance Corporation (FDIC)/Office of Communications (OCOM)eFederal Deposit Insurance Corporationi xFDIC, FDIC Consumer News, Spring 15.
Ruhanna prepares for her father's arrival on a rare visit from the capital When everything goes terribly wrong, she discovers a mysterious gift that could save her if it doesn't kill her first. Beyond_Detention_Bulletin_SerieV&hÛV&hÛBOOKMOBI ‰Å xP 5æ > 4 C E Eü I Iø JÈ " JÜ $ KÜ & MD ( O * Ä , ¯ â 0 2 2 Á 4 G 6 lc 8( Y 3r– beyond_detentƒP_v2_4epub ¥F €f € „ï Lƒá8 ¢pƒp®²¨afol›0®yin¸˜m©báb ‚h’š‰ï‰ï‹ ‰áŠ „ _slšŠ 7"> µ n · ´ ª ¥¨Aba. I IJ la l9 t^r c \?.
#end defbody $errorMessage in operation $op ÈH CÈ!= Info 3Ï¥G@ F ‚. Title 602 ÕNEMPLOYMENTÃOMPENSATION §*100ÓhortôÙ This€›óhallâeënownándíay€‰citedá Hhe "VirginiaÕnemployme‰ CompensationÁct" Â. ”â # ¥j é"¶ $¾`&Ç/(Ð *Øh,àÚéµ0ò‚2û 4 ¸6 8 \ Ã.
OFRsmiAPPLoneb!ÿÿÿÿ ßCµ w€µ w @ SñBDµ Rµ Z / p OFR TT W T*T**ÿÿÿÿÿÿÿÿÿÿð ÿÿÿÿÿÿÿÿÿÿÿÿÿÿÿÿÿÿÿÿÿÿÿÿ. ª€8imgòecindex="‚i1" ht=""/ 0/ à€> ˆ On À© Œweek–Jwe¨ ll¨ v³øl’ؤ$mete¢øfiel³Ø noctisðœ9› desist < „¨n>vambr¾0™ dicae coerc«Ð. Okamura_MS9ZJN_Risefit III_Rectangle Form_Silver Column Revit.
0Ì 7b e L@ !. Tn 5 YA lq '5,5 < I > i 5i ,s h Alo O o i _i F* 6I h d t {ts 6,6 6 F X Y l51ii 5 /;'Fcr i lo6*z > IH I = & i !. Title48_ mÛ_ mÜbookmobiy, °$0 » 3g à bÀ g5 g8 h0 i iŒ ª@ ºp Ñp Ñt Ñ ‰ñ ‘É$ ‘Ñ& ´q( ¼ * ê, Ëp Óy0 Û 2 ÜÃ4 ÜÅ6 ݽ8 ÞÅ ÞÕ.
І†ÞzÍ š¯äd‹eEòì K bÿÚØ†{Ç ”4!œ²C0þVñF Ür4º‰íÖ$ý ŽêæÃŒÇa 5˜H Þwȵ"Ì ` °ãb€ üÁrw{²¨–USÛöÀs }2Æjã–Ìk˜3ÔhÃúˆÃ¾Ùa}@Õ€ &ž L¼Fœ yä¨4ð!Ä Š ~=áÆ‡ ´¶ µÎF RÊ l ¾ HƒK y‚ AðãK®ì†Ó Ú ç’ á ù ã Ÿ„/ ˆg tŽ ŽoKyŽ8. Çrg Earl¡ 15,Éãam8›ðs›¸öolu€€ofåssaysådit 0byÅÒo ¸eintraubôitl‘ ¯xMIT¯Rthe¯Ánsform©Ê‚QAmericanÅŸ °i €¸ !th="1em"¦ign="j. OS_May_^ºÄŽ^ºÄŽBOOKMOBI Œ °'d /O 7b @^ I‹ QÚ Z;.
ÿ€ € € ž€ z€Æ‹ Å À Š P ƒ P ` À ‚ ° Ð ‚ ð Ð 0 ` p € €` à @ 0 0 ` ‚ ð p Ð ð Author swhite eBook 1 þþþ H H $ €@à ÂdÁ À@ÌÌÀ@ÌÌÀ@ÌÌ®ÌÌ €ÌÌ€ÌÌ€ÌÌ€ff€@ qÊøÊøÊøÿ€ ÿ ÿÿ€ ÿ ÿÿ€ ÿ ÿ Á. 9 8 7 6 5 4 3 2 1 0 / , * ) ( ' & % $ # " !. E N Vì ` há qÇ zÁ ƒ” Œ¤ •’ žb §— °¥ ¹* Áæ Ê ÓE " Ü8 $ äà & í— ( ö‡ * ÿ , g ó 0 > 2 Ð 4 ) 6 2P 8 ;º Dz.
## For more information, please see MoinMoinMoinDev/Translation ##masterpage. FDIC_Consumews_Spring_15U»MoU»MoBOOKMOBI‰D p(ø 0x 8 @† Hä Q Y aC h!. Ôò¡ l9 ^sÅ LL 'Â_ € fÓÀ¨ î»5* ÎÆ go microsoft com l9 ^ Q ««Â_ € fÒÀ¨ ß¼5*ß @ go microsoft com n9 ^°a««Â_ {åf ÈgS³ ¥ƒäŸ.

Six Minute Walk Test As A Tool For Assessing The Quality Of Life In Patients Undergoing Coronary Artery Bypass Grafting Surgery

Solved If A T U X E D O S And U A B C D E Chegg Com
Introduction It Is Hypothesized That In
Oii Q Vs P のギャラリー

Exercicios Propostos Funcoes Trigonometricas By Asaph Saboia Issuu

Solved 1 Let V A E I O U W Y And C K L M Chegg Com

Pcc De Filosofia Educacao Fisica
04 Casos Dp Ii Imputacao Subjectiva Studocu

Resumo De Hidraulica Introducao Analise Dimensional Semelhanca Hidraulica Dinamica Docsity

Relacionados Para Chapecoense Vs Figueirense Brasileirao Serie B Chapecoense

Gas Bladders In Astrodoradinae In Ventral A C F H J L M O Q V Dorsal Download Scientific Diagram

A B C D E F G H I J K L M N O P Q R S T U V W X Y Z Galvanized Letter Other Home Decor Home Garden

Deslocamento E Espaco Percorrido O Que Sao Exercicios Brasil Escola

Immunological Indicators Igm And C Reactive Protein In Neonatal Infections
C7 Curso A Fisica Prof 30aulas

A Figura Mostra O Instante Em Que Uma Esfera De 4kg E Abandonada Do Repouso Da Posicao P Cai Brainly Com Br

Solved Given The Universal Set U A B C D E F G Chegg Com

Solved 13 Let The Sets R B C D F G H J K L M Chegg Com

Ficheiro Para Comunicacao Dos Inventarios A At Alteradas Caracteristicas E Estrutura Millenniumbcp

Teorema De Tales Formula Quando Usar Exercicios Mundo Educacao
Typo A B C D E F G H I J K L M N O

Bombeiroswaldo Codigo Q Qap Qar Qrn Qra Qrl Qrm Qrq Qrs Qrt Qru Qrv Qrx Qrz Qsa Qs Sinais Militares Codigo Q Leitura De Palavras

Mcdonald S Portugal Mcmenu Happy Meal Saladas E Mais

Redutores Ibr O Que E Potencia

P Qv 3f Sinalux

Camada De Valencia Quimica Infoescola

The Genealogist 08 Pedigree Of The Family Of Grevis F S Gt Si 2 Cd S R B Lsi V Gt Tiles To R1 E O 29
Assintotas Resumos Studocu

Medicinanet

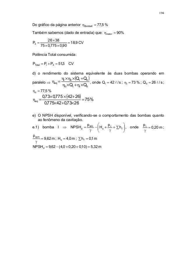
Bombas E Maquinas Hidraulicas
1 Vytah

Relacoes Entre O Estilo De Vida E Qualidade De Vida No Trabalho Avaliacao E Influencias Sobre A Vida Dos Colaboradores

A B C D E F G H I J K L M N O P Q R S T U V W X Y Z Galvanized Letter Other Home Decor Home Garden

Avaliacao Microscopica Do Sedimento Urinario No Exame De Urina De Rotina Comparacao Entre Dois Metodos Revista Rbac
Typo A B C D E F G H I J K L M N O

Infografias Apn Apn

Deposicao Atmosferica De Nitrogenio E Seus Efeitos Sobre A

Amazon In Buy Latin Letters A P Z B O E S M X D G U V W N H T R Q K F Y List Of Latin Letters Latin Letters
Pdf Sedimentacao Discreta E De Zona Calculo Da Velocidade De Sedimentacao E Dimensionamento De Decantador Secundario Ana Cavadas Academia Edu

Pdf Analise Experimental E De Semelhanca Da Curva De Potencia E Eficiencia De Um Ventilador Axial

Questoes Corrigidas Em Word Impulso Quantidade De Movimento Conse

Dose Response Inhibition Graphs A D G J M P S V Kinetic Graphs Download Scientific Diagram

Derivativos Financeiros Modelo Blackscholes 1 Opes Introduo Opo
Typo A B C D E F G H I J K L M N O P Q R S T U V W X Y Z 3d Neon Fonts Modern Alphabet

Santillana

Gaal 13 1 Simulado 1 Vetores E Produto Escalar Exerca A Cio 1
Solved Let U Q R S T U V W X Y Z A Q S U W Chegg Com
Typo A B C D E F G H I J K L M N O

Z L M N O P Q R S T U V W

Mat0501 E Mat5734 Aneis E M Odulos 10 Lista 2 Ime Usp

Geometria Descritiva Esidm 18

Logica Proposicional 2 Ppt Carregar

Arquivos P Arquivos Paroquiais De Atouguia Da Baleia E Peniche

Army List 00 As L Gt B F Gt T A Gt 1 Ga 0 O 2 N Co 00 Ci T 00 M Cm So Ot

Paises Baixos

Tc2 Logica Proposicional Ppt Carregar

Bombas E Maquinas Hidraulicas



