Q Nbl Vs P
‘P*Q’ means ‘P is neither greater than nor equal to Q’ ‘P@Q’ means ‘P is neither greater than nor smaller than Q’ Now in each of the following questions assuming the given statements to be true, find which of the two conclusions I and II given below them is / are.
Q nbl vs p. Jan 01, 11 · You have a typo on the third line it's supposed to be "(¬P V ¬Q) V R" and then by DeMorgan's rule you get the 4th line ¬(P ∧ Q) V R Maybe that was bothering you?. Looking for online definition of Q/L or what Q/L stands for?. Title Layout 1 Author lhorton Created Date 11/2/17 AM.
J s Q, ~ y s Q, V n s Q O X z D A k k } B z A B ѻP p ˬۿ˪ ӭ R X k ۿ˹ H A B X i O ҡA ̦ O ١B ̨ ĪG A F ߮ױB è A ȡA j s Q, ~ y s Q, V n s Q ݶ k ĸ ƽT A ӿ O γz } A 覬 O A w K O Ըߤj s Q, ~ y s Q, V n s Q C. Click here👆to get an answer to your question ️ The dual of the statement p ∧ q ∧ (p ∨ q) ∧ r is. Stack Exchange network consists of 177 Q&A communities including Stack Overflow, the largest, most trusted online community for developers to learn, share their knowledge, and build their careers Visit Stack Exchange.
11 PROPOSITIONS 7 p q ¬p p∧q p∨q p⊕q p → q p ↔ q T T F T T F T T T F F F T T F F F T T F T T T F F F T F F F T T Note that ∨ represents a nonexclusive or, ie, p∨ q is true when any of p, q is true and also when both are true On the other hand ⊕ represents an exclusive or, ie, p⊕ q is true only when exactly one of p and q is true 112. The following formula, (p é ¬q) è (¬p é ¬q), is a in term form b in disju nctive normal form c in conjunctive normal form d None of the above 7 The CNF form for the following formula, ¬p, is a ¬p è ¬p b (¬p é ¬p) è (¬p é ¬p) c p d ¬p 8. Solution for Prove that (p → q) q and T are logically equivalent by applying the laws of propositional logic.
Oct 08, 14 · While it is true that samesex attractions are a part of my life story, today I share of myself to defend the Catholic Church Yes, you read that correctly—defend I pray that you will open your heart to hearing my voice Who Do You Say I Am?. Definition of SVBEEQV SVBEEQV stands for Si vales bene est, ego quidem valeo By AcronymsAndSlangcom. J s Q B ~ y s Q A ⩤ B ò 檺 ~ N A x W k ʳz L j s Q Ъ X k B ôC X ΫD k j s Q j a ϬۿˡA H ۿ˵ B 覡 ~ y s Q C b x W A ~ y s Q w g O \ h H ѨM B ð D 覡 @ F F i O A ֤H dzư ~ y s Q e A @ w b Ҽ{ 쩳 O j s Q n O H ٬O V n s Q n H N b j s Q B V n s Q S ݤ M C.
èã u k ^ ?. A bcd e f g h i j k l m n o p q r s t u v w x y z aa bb cc dd ee ff gg hh ii jj kk ll mm nn 1 2. è p d n è tÝ è ¯ è x # èä n è l qù èä p u xÝ è p ^ý è q x ^Ï è # ý è ýù ý è m u è ý è ¯ è Ô è x w è x ' è è Õ è o $ n q è m u è i 8 n è â k Ù 7 è p pù è ¯ è r # ý è t #ù q è l r Ù u è k ^ ?.
CHAPTERØIX —A‹A¾Átr¼èгk“Ð`€um½@ž hi¸Ñf¸Z 2 ‡· ¿PKºH®!¯ ’½®¸¯`d§ i>  "T¹›‹`a¢ üžPse  H¸€sluggž Œ="1 ‚u»ˆ¼ðt="2em">Foot¶ e 1Ò¦°des‘ضàvebµ‰L˜ rm² iro¸Hˆ‘»ˆen€È 814«h3ƒG3ƒACHAPTERØXII†ái>W¹ ¾(¾ b‘b‘K¿ñcombºh¤¼. Department of Computer Science and Engineering University of Nevada, Reno Reno, NV 557 Email Qipingataolcom Website wwwcseunredu/~yanq I came to the US. V n s Q B ~ y s Q A B ò 檺 ~ N A x W k ʳz L X k B ôC X B å U a ϬۿˡA H ۿ˵ B 覡 V n s Q C b x W A ~ y s Q w g O \ h H ѨM B ð D 覡 @ F C j s Q, ~ y s Q, V n s Q O X z D A k k } B z A B ѻP p ˬۿ˪ ӭ R X k ۿ˹ H A B X i O ҡA ̦ O ١B ̨ ĪG A F ߮ױB è A ȡA j s Q, ~ y s Q, V n s Q ݶ k ĸ ƽT A ӿ O γz } A 覬 O A w K O Ըߤj s Q, ~ y s Q, V n s Q C.
Share your videos with friends, family, and the world. The first row shows you the headings for each column as expressed in p and q The second row shows you the headings for each column as expressed in p, q, A, B, or C A is equal to (p ^ q) B is equal to (p v q) C is equal to ~(p v q) The last column shows you (A v C) which translates to (p ^ q) v (~(p v q. Example 213 p_q!r Discussion One of the important techniques used in proving theorems is to replace, or substitute, one proposition by another one that is equivalent to it In this section we will list some of the basic propositional equivalences and show how they can be used to.
Thanks (a1 is the bottom left corner) marvellosity Aug 22, 09 #2 If I were White I'd exchange the minor pieces It's almost impossible for a human to win those QP endings Log In or Join. Solution for •p q and p v q are logically equivalent •p q =p v q • Truth tables are the simplest way to prove such facts. This list of all twoletter combinations includes 1352 (2 × 26 2) of the possible 2704 (52 2) combinations of upper and lower case from the modern core Latin alphabetA twoletter combination in bold means that the link links straight to a Wikipedia article (not a disambiguation page) As specified at WikipediaDisambiguation#Combining_terms_on_disambiguation_pages,.
Level II Procedure Document # Revision QAP33 N TITLE QUALITY CLAUSES Rev Date 1/2/18 Page 3 of 35 Electronic and printed copy for reference only will not be automatically updated (please compare this copy with latest. Aug , 09 · Q N p vs Q B smartens Aug , 09 #1 What's the strategy for winning this endgame position?. A b c d e f g h i >JK< l m n o p q r s t u v w x y z 31 likes Community Facebook is showing information to help you better understand the purpose of a Page.
L&Q (London & Quadrant Housing Trust) is a housing association operating in Greater London, the South East, East Anglia, and parts of the North West (under its subsidiary company Trafford Housing Trust) L&Q’s registered office is based in Stratford Quadrant Housing Association, one of its original forebears, was established in 1963. Lastpagenum> z $monthname> $daynum>, $year> { "$monthnum>/$daynum>/$shortyear> ;$monthname> $daynum>, $year> $hour>$minute00> $ampm> } "$monthnum>/$daynum. As for the intuitiveness of it Think about when any of (P > R) V (Q > R) and (P ∧ Q) > R are false only when both P and Q are true but R is false;.
@ Ƃ łv l ̑ A j t @ ^ Q b g Ƃ V b v ł́A ̃ N W ̈ꗗ ł 悤 ɃT C g g R Ȃ Ȃ ̂ł A ̊ ɁA T C g ^ c ₻ ̓ e ɖ ڒ ȃg R ̂͂ s v c ł (^^;) B @ ̃y p ͂ ̓_ A ƂЂƖ Ⴂ ܂ B. Q/L is listed in the World's largest and most authoritative dictionary database of abbreviations and acronyms The Free Dictionary. 1) A contradiction, 2) A tautulogy , 3) All of above, 4) Logically equivalent to p ^ q , 5) NULL.
è i wù è áù. H b ^ i q e v I k ` b k q f s b p P o l d o ^ j (HIP) In 17 there was a 65% increase in the number of directtoconsumer SNAP retailers SNAP sales at farm retailers increased by nearly 600% from 16 to 17, thanks to HIP M ^ p p ^ ` e r p b q q p. CurriculumBased Measurement Letter Naming Fluency Student Copy x v s k p r d o j h z Created Date 12/19/14 AM.
In an n × n array of numbers all rows are different (two rows are different if they differ in at least one entry) Prove that there is a column which can be deleted in such a. Countless people (yes, even Catholics) try to impose the “gay” identity onto me They Read more. Two propositions p and q are called logically equivalent if and only if vp = vq holds for all valuations v on Prop In other words, two propositions p and q are logically equivalent if and only if p 㲗 q is a tautology We write p ≡ q if and only if p and q are logically equivalent We have shown that (¬p ⋁q) ≡ (p q) In general.
What does SVBEEQV mean?. Q = n e q is the symbol used to represent charge, while n is a positive or negative integer, and e is the electronic charge, 160 x 1019 Coulombs The Law of Conservation of Charge The Law of conservation of charge states that the net charge of an isolated system remains constant. '8j?mv % '9 1 9 8qv 33'!%v qv 33 mv?'q!'99 qq ?m?9 ?8 qv' 8'3 m3'v 8' % 3?3vm 3'!%v ??mq3'!%v f 'q m l 9!3'9!.
This is read p and q Cucumbers are green and vegetables A conjunction is true only if both statements that form the conjunction is true If we have two statements that are joined by "or" we have a disjunction Example p Bill is travelling to Mexico q Bill is travelling to Canada. Facebook covers for your facebook profile New covers added daily!. Oct , 16 · Commutative laws p ∧ q ≡ q ∧ p p ∨ q ≡ q ∨ p Associative l Stack Exchange Network Stack Exchange network consists of 177 Q&A communities including Stack Overflow, the largest, most trusted online community for developers.
B L I N K Q U E E N 246 likes · 1 talking about this ฝากติดตาม ทีมของพวกเราด้วยนะคะ #เต้นcover. @ Q X N P P P T i j @ G b T _ c z y 2 z 4 K c @ s c _ c3245 @ @ @ n } ʃA N Z X ̓R `. J @ l C E ` p E q Z p ` p ` Z p ƍ y ʏ y Z p @ 29 N x u ʌ J v @ @ @ @ @ @ @ Q X N V Q Q i y j @ P O F O O ` P U F O O i t ^ P T F R O ܂Łj.
BEGIN PRIVACYENHANCED MESSAGE ProcType 01,MICCLEAR OriginatorName webmaster@wwwsecgov OriginatorKeyAsymmetric. M v 9'!%v?9j?9 'j q' mm 9 e j 3 3. 41 Geometry Name Examples 41 44 Date Period 6 \ p In the figure, PQ ~ PS,PR 1 QS Complete the sentence \ 1 PQ is the ofthe right triangle.
:max_bytes(150000):strip_icc()/bill-of-lading-01-9ea02358e8a04863b781b4fe33ff809d.jpg)
Bill Of Lading Definition

6 Month Consequences Of Covid 19 In Patients Discharged From Hospital A Cohort Study The Lancet

Panch Swara Pdf Document
Q Nbl Vs P のギャラリー
Q Learning Wikipedia

Analisis Dimencional

Safety Tolerability And Immunogenicity Of A Recombinant Adenovirus Type 5 Vectored Covid 19 Vaccine A Dose Escalation Open Label Non Randomised First In Human Trial The Lancet
The Force On As Charged Particle Due To Electric And Magnetic Fiel

Search Projects Photos Videos Logos Illustrations And Branding On Behance

A Randomized Trial Of Hydroxychloroquine As Postexposure Prophylaxis For Covid 19 Nejm

Explainable Artificial Intelligence Xai Concepts Taxonomies Opportunities And Challenges Toward Responsible Ai Sciencedirect

Plitidepsin Has Potent Preclinical Efficacy Against Sars Cov 2 By Targeting The Host Protein Eef1a Science

Esc Guidance For The Diagnosis And Management Of Cv Disease During The Covid 19 Pandemic

Analisis Dimencional

What Will Your Unicorn Name Be Unicorn Names Unicorn Emoji Names

A New Coronavirus Associated With Human Respiratory Disease In China Nature

Esc Guidance For The Diagnosis And Management Of Cv Disease During The Covid 19 Pandemic

Thevenin S Equivalent Based P Q V Voltage Stability Region Visualization And Enhancement With Facts And Hvdc Sciencedirect

Panch Swara Pdf Document

Modelling The Covid 19 Epidemic And Implementation Of Population Wide Interventions In Italy Nature Medicine

练习 人才选拔大赛颁奖典礼执行方案下载 Word模板 爱问共享资料

The Effect Of Morning Vs Evening Exercise Training On Glycaemic Control And Serum Metabolites In Overweight Obese Men A Randomised Trial Springerlink

Le Suedois Pour Les Nuls En Voyage Guide De Conversation Amazon Es Hamberg Bussenot Sara Libros En Idiomas Extranjeros

Diferencia Entre Bill Of Lading Y Sea Waybill

Modelling The Covid 19 Epidemic And Implementation Of Population Wide Interventions In Italy Nature Medicine

Nachtgestalten Swr2

Analisis Dimencional

A Pneumonia Outbreak Associated With A New Coronavirus Of Probable Bat Origin Nature
/producer_surplus_final-680b3c00a8bb49edad28af9e5a5994ef.png)
Producer Surplus Definition
Lorentz Force Wikipedia

Mikrotik Routers And Wireless Products Hap Ac

Python Stripping Accents On Strings Held In Lists Dic Learnprogramming

La Transcripcion Fonetica

Genomic Characterisation And Epidemiology Of 19 Novel Coronavirus Implications For Virus Origins And Receptor Binding The Lancet

Sars Cov 2 Sars Cov And Mers Cov Viral Load Dynamics Duration Of Viral Shedding And Infectiousness A Systematic Review And Meta Analysis The Lancet Microbe

Esc Guidance For The Diagnosis And Management Of Cv Disease During The Covid 19 Pandemic

Primizie Di Canto Fermo 7 Mode M Jqz M Zaz O A Rr Lt R Tj E Zar Zar 3sc I St O 1 O T A G O Izzt

Safety And Immunogenicity Of The Chadox1 Ncov 19 Vaccine Against Sars Cov 2 A Preliminary Report Of A Phase 1 2 Single Blind Randomised Controlled Trial The Lancet
Wages And Labour Costs Statistics Explained

Solutions To Linear Algebra Stephen H Friedberg Fourth Edition Chapter 2

A Randomized Trial Of Hydroxychloroquine As Postexposure Prophylaxis For Covid 19 Nejm

Esc Guidance For The Diagnosis And Management Of Cv Disease During The Covid 19 Pandemic
International Phonetic Alphabet Wikipedia
/bill-of-lading-01-9ea02358e8a04863b781b4fe33ff809d.jpg)
Bill Of Lading Definition
Lorentz Force Wikipedia

Thevenin S Equivalent Based P Q V Voltage Stability Region Visualization And Enhancement With Facts And Hvdc Sciencedirect

Ss8lyng8f00lvm

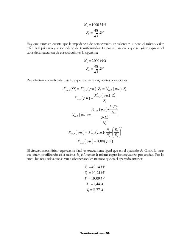
Problemas Resueltos Transformadores

Mechanisms Of Slab Avalanche Release And Impact In The Dyatlov Pass Incident In 1959 Communications Earth Environment

Frontiers Water Use Efficiency Advances And Challenges In A Changing Climate Plant Science

Inhaled Budesonide In The Treatment Of Early Covid 19 Stoic A Phase 2 Open Label Randomised Controlled Trial The Lancet Respiratory Medicine
Kronecker Product Wikipedia
/voiced-and-voiceless-consonants-1212092-v4-5b7c5bf1c9e77c005008a784.png)
Voiced Vs Voiceless Consonants

Analisis Dimencional

Sars Cov 2 Viral Load In Upper Respiratory Specimens Of Infected Patients Nejm

The First Letter In Your Name Predicts Your Character A Romantic B Proud C Innocent D Lovable E Gu Lettering Meaningful Quotes About Life Best Quotes

Clinical Predictors Of Mortality Due To Covid 19 Based On An Analysis Of Data Of 150 Patients From Wuhan China Springerlink

A Randomized Trial Of Hydroxychloroquine As Postexposure Prophylaxis For Covid 19 Nejm

Days Of The Week And Seasons Dias De La Semana Y Estaciones Ppt Descargar
Html Standard

Preliminary Genomic Characterisation Of An Emergent Sars Cov 2 Lineage In The Uk Defined By A Novel Set Of Spike Mutations Ncov 19 Genomic Epidemiology Virological

Immunological Memory To Sars Cov 2 Assessed For Up To 8 Months After Infection Science

Pieces De Clavecin El S S P Pi P Jttji S A S R R R F A I S Hfr Rfr Tt Ee E P S A Ipp Rr

A Sars Cov 2 Protein Interaction Map Reveals Targets For Drug Repurposing Nature

Esc Guidance For The Diagnosis And Management Of Cv Disease During The Covid 19 Pandemic
Pdf Informe De Yesos Dentales Compress Studocu
Lorentz Force Wikipedia

Search Projects Photos Videos Logos Illustrations And Branding On Behance

Pentacoordinate Silicon Complexes With Dynamic Motion Resembling A Pendulum On The Sn2 Reaction Pathway Dalton Transactions Rsc Publishing

Nachtgestalten Swr2

Gr5yofgjwn9tam

Mikrotik Routers And Wireless Products Hap Ac

Analisis Dimencional
/dotdash_Final_Property_Plant_and_Equipment_PPE_Sep_2020-01-dd61e2f2fdb7481d81e95bc90b5c61d8.jpg)
Property Plant And Equipment Pp E Definition

Panch Swara Pdf Document

Preliminary Genomic Characterisation Of An Emergent Sars Cov 2 Lineage In The Uk Defined By A Novel Set Of Spike Mutations Ncov 19 Genomic Epidemiology Virological

Esc Guidance For The Diagnosis And Management Of Cv Disease During The Covid 19 Pandemic

Solutions To Linear Algebra Stephen H Friedberg Fourth Edition Chapter 2
Xpath And Xquery Functions And Operators 3 1

Immunological Memory To Sars Cov 2 Assessed For Up To 8 Months After Infection Science

Immunological Memory To Sars Cov 2 Assessed For Up To 8 Months After Infection Science



