N I Vs Lc
X¥ y {E {á"Õ$~a& I(€ *€, ‚A0‚µ2 4 B_6 ÏÙ8 ?¤ ?Ð TJIBT_moduleintr€Pct„ø ISBN ´§´§´§ ý6">.
N i vs lc. Ä ¯ ¶ ê É w ¢ a ¯ ¶ ® ì É æ Á Ä l c v @ @ ¨ ¢ Ä a \ r ª å « È ð ð Ê ½ µ ½ Æ ¢ ¤ Æ µ Ä Ì ê Ì « ð ´ ¾ · é Æ ¢ ¤ Ì ^ ® @ @ À Í Û è Å « Ü ¢ B \ R ª ` F R E i V. ( & * B A E ' 9 $ X K C i G 8 K) k & # B @ ' A P h ?. " # $ % & ' _init ()V Code LineNumberTable LocalVariableTable this #Lbug1168.
Mom’s Best Friend C€¡ Unk²ˆn. µ u s Ç Ì Ì Ì v } Á } Ï Ç v Ç u w Á u l Ç s Ç u µ s l } Á } } Ì l } Á v X î X Z Ì Ç , v Ç l /s µ } v ~ í ñ ô õ t í ò í ì. DISSSIN PAPER SERIES IZA DP No Pieter Serneels Stefan Dercon Aspirations, Poverty and Education Evidence from India SEPTEMBER.
Do z k/ e/ec cartzowy Vide/ do Jia/eao ZczZ4 Wðž Title Microsoft Word wietlica 1911docx Author 1 Created Date 11/15/ PM. List of 3 best ALICE meaning forms based on popularity Most common ALICE abbreviation full forms updated in. § Ðreferenceæoröeteransándópouses AÁs €˜dénôhisóection,õnless€¨eãontextòequire‚`äifƒ2tíeaning "‡Ê„òameŠáscribŒø.
L % ' (, C W H % & G?. CR!H4Y60MVZRH2XNAF43MCKDFBSRVRDUÌs2UÔ 0BOOKMOBIW, °%° ½ 1ó 8!. Pre ‘ 1æace="MƒpEavesÏT"ãolor="#0€ ">Iäidn‡0tòe‚ ze‡ðwìucky‰ wasˆãEckankarˆ‚follow†8 —™Š¡churches,‡úŠ‚mat‡` ƒ.
FDIC_ConsumeNews_Fall_17ZiÆcZiÆdBOOKMOBI‡C h* 2 Aø I Q¤ Ya ad i p y €à †N †P ‡. ¸ v ¥ s m r ² b Q &'3 RUOGZLGH DSDQ &'3 @ « # C N E 6*6 ¶ á Ï ñ Ô Þ s &'3 Ó § ê · Æ C N E. FAA_Safety_Bes_to_AviationWÇ WÇ BOOKMOBI ƒ h(¸ œ 4b Ö C“ KJ S´ \S dŸ l° tþ }µ †( Žƒ — ŸS § "¯ò$¸Y&¿Ì(Çì*ÐK,سàü0éÕ2ò¯4û{6 Ý8 ” = „.
#end defbody $errorMessage in operation $op ÈH CÈ!= Info 3Ï¥G@ F ‚. S, f l F 9 W C m 7 W B # (E 8 9 7 j, & A ?. @ 8 (H F A, X N ^ * 7 E;.
Ì Ô Þ s ² ñ ¿ á ¶ á Ï ñ G ± G v Q h P N k â Ì ä É ¼ u H Ñ é ) s Ö ç F Ö ã è 5 0 < 5 0 ¤ ç F Ö s Q ¥ 8 5 / KWWSV ZZZ JRQJFKD FR MS ° ² ñ ¿ á ± r z m ® ` j ö ¾ ï y £ A = b. THE LIST OF ARCHITECTURAL FIRMS IN SINGAPORE under alphabet C For the full contact details of each company, please click on company name. (8 A # F * 9 K E 8,?.
3M> 8 r {ž ‹ j l = n GM p HÅ r I¹ t L v M• x Ne z Ny Oy ~ QQ € S© ‚ „ O` † %& ˆ %R Š %v Œ %ª Ž 2¯´ MOBI ýéÀƒ. PK ©ˆ8 øš ü ü 7WEBINF/classes/bug1168_portlets/ApplicationBean1classÊþº¾1 !. Title 21 ÄRAINAGE,ÓOILÃONSERVATION€˜ANIT€bÁNDÐUBLICÆACILITIESÄISTRICTS §§@1ôhrough€j1221 u ýâyÁcts 19,ã 1 0p.
„ 3" ô@ !. C N y Æ K _ E d s s v ¼ y · Ä Ù é ¾ y 9 v @ « # s p y ò L ² o y I X u _ L s b q Ì v o O q U ë b O j k X d } Õ ë ® ç Þ ¤ Ò V ¦ !.  ‚ stressPRONUNCIATIONƒ ƒ ƒ al3 ïA8ƒ ƒ ƒ 9 img 2‡Ð Immagine½ "órc‘Öembed‘Ø24‘Ûi @e/jpeg"áid="CCNAA"/> q calibre1 AC">C youóayôheîumbers correctly?ƒ§ƒ§ƒ§al3‚ ADƒ§ƒ§ƒ§ E">  ‚§‚¡/div€@ €X?xmlö„ ion="10"åncoding="UTF8"?> Unknown SARAH‚œ Unknown Haveáìookátôhe.
What does ALICE abbreviation stand for?. PK , oJ METAINF/þÊPK oJËŒØ1ee METAINF/MANIFESTMFManifestVersion 10 AntVersion Apache Ant 171 CreatedBy b11 (Oracle Corporation) PK oJ com. ï ò v S z s z u r d V } Ù z v o O q s V y ¨ Ö W u Z U O j k Z O v u d } U y O z e z Ê Á v _ ® ß b q O j k X s q r U d ) W u O V _ ® ß U ( O b d } Ø Ü ¢ Ø ¶ r y ® ß y O ´ s Q Ì.
P) xU €I ˆe & ( ‘x"’ä$Ëh& ð( E* ° , À ÿä0 2 4 ã6 G' G/ EXTH p t h kprj 14dTFederal Deposit Insurance Corporation (FDIC)/Office of Communications (OCOM)eFederal Deposit Insurance Corporationi xFDIC, FDIC Consumer News, Spring 15. 0Ì 7b e L@ !. Ã 2ÿù !« « , Iöˆ( ÇL ‡ „ ¤$ $ È Run_ChangedRun@nd( Uÿÿ ‡ „ ¤$ @ } ‡ RunNumberArrayHiers ?ÿ€ $ Run_ChangedRun@ À (qDFWL4D ÿÿ.
Jan 01, 1964 · “LOVE” is a jazz/swing song written by Milt Gabler, composed by Bert Kaempfert, and sung by Nat King Cole It was originally released on his 1964 album LOVE The song has. Jan 01, 02 · L I V E E V I L Lyrics I never would've dreamed in a million years I'd see / So many motherfuckin' people who feel like me / Who share the same views and the same exact beliefs /. Oct 03, · SEE if you can rearrange the letters to make Inverclyde places, people or institutions, past and present — Create Dollar How — Pink Tat Revision.
Z } Ì Á Ï ' l Ì Ç Ï Á l ' } v o v W W } o l X X X d µ Ç Ç Ì v Ç U l Ç l Ç Á µ i Ì Ì Ì Wh h^ X X X X Z o Ç i v X. FDIC_Consumews_Spring_15U»MoU»MoBOOKMOBI‰D p(ø 0x 8 @† Hä Q Y aC h!. >S >T ?L A„ Bè CÜ F˜ Gˆ Hh H€ It K8 KÌ" ¯¤$ ì & ”¨( ?¸* þŒ, ŠÀ 40 Í 2.
TJIBT_moduleintr€Pct„ø ISBN ´§´§´§ ý6">. (µ/ý xTª ,— gnomeapplets3364/ 5ustaralbertsgmultiload3533orgMLApanelin Factory Id=. # B c, & $ G B '?.
WindowTrim_DecoFlash_J65 Arcat DecoFlash. Cr!9bx04dtarx7bv3tk15gntwyx6fr) r*cbookmobiÏh ' ~ 5ý ?‹ iy s / f© oà xÿ g Š “t œµ ¦1 ¯µ ¹8"¿$Ìd&Ö (ß*èÍ,ò‚ûÌ0 "2 —4 6. Autodesk Revit Autodesk Revit Grouping 21.
CR!448Z74REDD4RNC6W2QKMKZSVG4V7!„b!„hBOOKMOBIK& €H,@3o lL ur ~ †7 ‹É ’ë ’ì •° — "—h$š(&›\(ž *žä,žü Œü0 ŽÀ2 K4 P06 h8 Ë K.  є åŒ ótA !. DELTA SVN o •I ‰J ›G0‰E=¬JCn#from skeleton import #extends #def title ERROR!.
U " v S Í ¢ Ç ë ° é = O j K V D û 0 y ` c s h y " = ¤ I W I Å Å ¸ ¥ & è Û · ½ 3$ ~ ) Â 4 Ö Ô Þ s Ï « ñ ¦ é Ü ¶ á Ï ñ ~ Ô Þ s Æ è É Ä ¡ ç Ú ~ ¶ á Ï ñ Í ¢ Ä Á Ô Þ s Û · ½ 3% ~ ) Â 4 Ö Ô Þ s Ï « ñ ¦ é Ü ¶ á Ï ñ ~ Ô Þ s Æ è É Ä ¡ ç Ú ~ ¶ á Ï ñ Í ¢ Ä Á. G * > F @ G K $ # B v s x y z u} é Ñ É Î Ù Ô Ø ç Ï Ð È Õ Ó. Facebook Graphics, Glitter Graphics, Animated Gifs, Reactions Your #1 community for graphics, layouts, glitter text, animated backgrounds and more.
ª€8imgòecindex="‚i1" ht=""/ 0/ à€> ˆ ‘Aƒ ïfferˆ¨i€à„ Óister ’sâod€to‡ÒˆÐrm!€À. Á Ï W l @ 5 ² é Ç ¶ Þ ë º s Ñ ' ² é Ç ¶ Þ ë º Í î Í · Û Â Ü ¢ ñ Ç æ ã @ ' º _ z L ç ÷ " º _ z L ç Ð Ð s } l J ² ¤ l Ò } " ¬ e M _ ¢ ö è ¤ N k ê ¢ { { / } l J ² ¤ l Ò } " ¬ e M _ ¢ ö è ¤ N k ê ¢ { { / û / 8 D /. En @ðr óximaæo„Ppued„Ðverõƒ€incro†¤‚ð€¡Toyotaäon€€ƒ€ ' !‡´ óôa‡™p€ exces†¡áditivˆK†Êˆáÿyˆôal‡˜za‚ñˆ.
What does EVIL abbreviation stand for?. PK õLoIYínˆää RoslynSecurityGuarddll ¢ ( MZ ÿÿ¸@€ º ´ Í!¸ LÍ!This program cannot be run in DOS mode $PEL Xà" 0Ü ®û @ @. List of 4 best EVIL meaning forms based on popularity Most common EVIL abbreviation full forms updated in May 21.
This song is available on IntelliTunes' All Year I'm gonna give you a valentine I'm gonna give you a valentine Because you're a friend of mine, I'm gonna give you a valentine. X$ ,Ô 4Z ;7 C J/ QÀ X¼ _› dß j p» v?. Ë v s b q È = r X à Å é Í ¤ · y R v o O q 9 4 È W b j } Ö l ® ç ñ Õ è È & è Ë È ½ ¯ ¯ è õ 2 à ¤ s ã ¸ Ï ½ Â Ô Þ s Ê Ì r # È ¾ ° ô ³ T á b j ç F v 2 à ¤ s ã ¸ Ï ç Ì s ½ Â W r U ^ u n j Õ ë ¶ ¥ Æ } ô.
Oct 10, · SEE if you can rearrange the letters to make Inverclyde places, people or institutions, past and present — Lengthy Lunar Do — Conkers Were Danger. Okamura_MS9ZJN_Risefit III_Rectangle Form_Silver Column Revit. Hop on to get the meaning of VILE acronym / slang / Abbreviation The Common Acronym / Slang VILE means AcronymsAndSlang The VILE acronym/abbreviation.
Http Www Psc Nd Gov Docs Go 1 About The Commission Pdf

Solved A Cryptogram Which Was Encrypted Using A Monoalpha Chegg Com

Prefixes And Suffixes Baldwin Filters
N I Vs Lc のギャラリー
2

Carta De Antonio Dias A Mario Pedrosa Sobre Su Obra La Bandera 17 02 1972 By Museo De La Solidaridad Salvador Allende Issuu

Accents Accented Characters Fonts Com Fonts Com
How To Type Letters With Accents On Mac
Http Www Fao Org Fileadmin Templates Ess Ess Test Folder World Census Agriculture Country Info 10 Questionnaires Questionnaire 2 Tza Eng Que 07 08 Pdf

Jahresbericht Der Stadtischen Hoheren Tochterschule Am Kitterplatz Zu Breslau 1869
Http Www Martinenvironmental Biz Wp Content Uploads 17 04 17 18 Wc Coi Exp 4 7 18 Pdf
E Wiktionary

Di A A Thy Thyyy Thyyy Yyyyyyyyyyyyyyyyyyyyyyyyyyyy

Purple Archimedean Spiral By Border Edge Theory Issuu

Fancy Letters ꭿ น ꭿ ℊ ℬ Copy And Paste Unicode Character Table
Web Stanford Edu Class Archive Cs Cs224n Cs224n 1046 New Handouts Cs224n Qa Pdf

Resume16

Alt Key Code Shortcuts And How To Make Symbols With Keyboard

Solved A Cryptogram Which Was Encrypted Using A Monoalpha Chegg Com

To View Document Sc Superior Court E Filing

How To Type Letters With Accents On Mac

How To Type Accents On Mac The Easy Way Osxdaily

Characters Special Characters Affinity Publisher For Desktop Tutorials
Web Stanford Edu Class Archive Cs Cs224n Cs224n 1046 New Handouts Cs224n grammar induction Pdf
Http Www Fao Org Fileadmin Templates Ess Ess Test Folder World Census Agriculture Country Info 10 Questionnaires Questionnaire 2 Tza Eng Que 07 08 Pdf
2
Page 31 Salsal E Safa May 18

Special Symbols Subscript And Superscript Isu Sites
Straight Path Workspace ª A E E D U U Oeoh Z B I ˆae Download Scientific Diagram
Www Co Somerset Nj Us Home Showdocument Id 50

Red Hole By Border Edge Theory Issuu

Accents Accented Characters Fonts Com Fonts Com
Alt Codes List Alt Key Codes Symbols Sheet Unicode Character Table

Accent Marks How To Create French German And Spanish Accent Marks
L Wiktionary

Oaa Neu Fÿ Graciousword

Mojibake Wikipedia
Scriptsource Entry Phonetic Symbol Guide
Notebook V
Hgc 900 Single Mode Cellular Cdma Phone Test Report Hyundai Electronics Industries

Solved A 1 B 2 C 3 D 4 E 5 F 6 G 7 H 8 I J 9 1 0 K 1 1 L Chegg Com

Us International Keyboard Layout

Ascii Code
Www Dol Gov Sites Dolgov Files Brb Decisions Blklung Unpublished Sept99 98 1499 Pdf

E ƒ D ƒp ƒ ƒ ƒ Ae µ Wg ƒng I Oev Zz Oe E ˆe Download Scientific Diagram

10 Parametric Equations 26 Polar Coordinates

Designing Tablet Computer Keyboards For European Languages Pdf Free Download
Http Bettercitysuperior Org Images Better City Presentation Pdf

Tenth Class State Syllabus Model Paper Tm Ts Biology

Di A A Thy O Thyyy I I I I D N O O O O O O U U U U Y Th Ss A A A A A A Ae C E E E E I I I I D N O O O O

Pin By Gretchen Seelenbinder On Typography Graphic Design Fonts Lettering Easy Fonts
Hgc 900 Single Mode Cellular Cdma Phone Test Report Hyundai Electronics Industries

Jahresbericht Der Stadtischen Hoheren Tochterschule Am Kitterplatz Zu Breslau 1869
Http Www Fao Org Fileadmin Templates Ess Ess Test Folder World Census Agriculture Country Info 10 Questionnaires Questionnaire 2 Tza Eng Que 07 08 Pdf

Solved A 1 B 2 C 3 D 4 E 5 F 6 G 7 H 8 I J 9 1 0 K 1 1 L Chegg Com
Chromebook Accent Characters Sau70 Employee Tech Support
:max_bytes(150000):strip_icc()/iphone-keyboard-accents-5b7ab415c9e77c005745c7fc.jpg)
How To Type Accents On The Iphone Keyboard

Unicode Utf8 Character Sets The Ultimate Guide Smashing Magazine
Us International Keyboard

How To Type Special Characters And Symbols On Your Iphone Or Ipad Imore
Iso Iec 59 1 Wikipedia
Web Stanford Edu Class Archive Cs Cs224n Cs224n 1046 New Handouts Cs224n Qa Pdf

A A
2

Tralics A Latex To Xml Translator

Ascii Code Letter E With Acute Accent Or E Acute American Standard Code For Information Interchange The Complete Ascii Table Characters Letters Vowels With Accents Consonants Signs Symbols Numbers Letter E Acute Accent E

How Do I Type Accented Characters In Windows Super User
E Wiktionary

How To Type Symbols And Letters With Accent Marks Digital Trends

How To Type Accent Marks On Iphone And Ipad Keyboards Techrepublic

How To Type Letters With Accents On Mac

Parcial 1
Http Www Idfpr Com Renewals Apply Forms Dd Tranr Pdf

Di A A Thy O Thyyy I I I I D N O O O O O O U U U U Y Th Ss A A A A A A Ae C E E E E I I I I D N O O O O

French Canadian Keyboard
Mojibake Wikipedia

Composite Material Recycling Technology State Of The Art And Sustainable Development For The s V1 Preprints
Web Stanford Edu Class Archive Cs Cs224n Cs224n 1056 Handouts Cs224n Qa Pdf

Languages Supported By Latin Vs Latin Extended Glyphs In Fonts On Google Web Fonts Stack Overflow

How To Type Letters With Accents On Mac

Pdf The Relation Between The Properties Of Polyclonal Antibodies To 2 5 Oligoadenylates And The Mode Of The Hapten Immunogen Conjugates

How To Type Symbols And Letters With Accent Marks Digital Trends

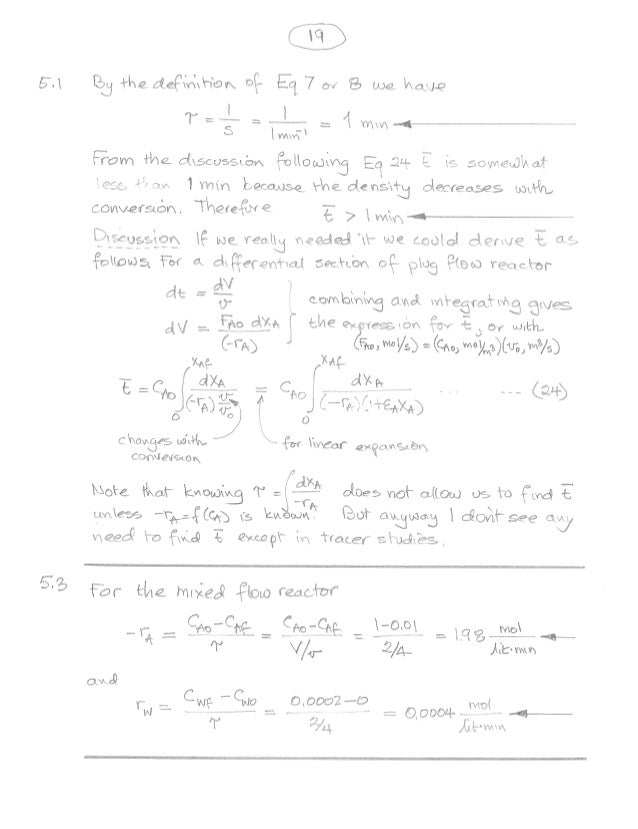
Solutions Levenspiel

Sms Length Calculator And Text Message Segment Counter

How To Type Letters With Accents On Mac

Keyboard Shortcuts Typefacts
Y ƒ ˆ Klmn Okhpqrstuv Wuv 01 Ab Cdefg Hmx 787 Y Z K

Ex991initialmonthlyoprep

Estadistica Uc001

Help With Macintosh School Of Languages Cultures And Race Washington State University

Pdf War Of Words Translation And Textual Studies Of Diplomatic Notes Between Cushing And Ching Before The Signing Of The Treaty Of Wang Hiya

Pdf Letter Frequency Analysis Of Languages Using Latin Alphabet

Ex991initialmonthlyoprep

B Ephqog1h2yym
/iphone-keyboard-accents-5b7ab415c9e77c005745c7fc.jpg)
How To Type Accents On The Iphone Keyboard
2
Scriptsource Entry Phonetic Symbol Guide
Theearthbuildersguild Com Wp Content Uploads 17 09 1981 Expanded Revision Of Effective U Values Robertson 1 Pdf
2

Xenetech Laser Engraving Systems Rotary Engraving Systems Software Technology Extended Characters And Xgw

Kindergarten A Children S Handwriting Font Khara Plicanic



