Jxe Aw Vs
º Spisôre Å›ci OKRESÐIERWSZYÄ®Xwczyna ˜‰Áf “¹ 7þ ƒ 0L•Áîô"#Y·œâý©Ó )l ®¶¥¡2ÒwÄ«c“—ݳMüûF„P‰§ #›mbã6 Î kôÝíÛ M.
Jxe aw vs. HP 5 EXTH l kprj TZ 7YmB enUS horizontallr kindleembed0002 ,6 @ @ @ @ @ # InMemory} y 2400x. A „ÉÇ 0 A ŠE ¢, Aƒ} œÿ5€ A‹5` @ÿ֋؉ÔÛttÿ5 AÿÖ‹ø‰ä‰}à‰}Üƒï ‰}Ü;ûrWjÿ \ @9 tê;ûrGÿ7ÿÖ‹ðjÿ \ @‰ ÿÖÿ5. D r A (o 1 Ci L U ^ g o x Q Ⱦ ѹ K t 8 , \ l ` @ d d l P T X \ St S S MOBI Mv x 1HP 6 8 7 9 EXTH ` t j d Ragnhild Jølsen gyaC no horizontallr kindleembed0005 ,8.
Introduction_deep_learning_ô ì_ô íBOOKMOBIý~ @(è 1L 9t B" Iž Q— T T U V Ð,> Ô @ Ü@B æ D êF í°H ñÀJ õdL øðN üÈP. ÿ ÿ ÿ ÿ ÿ ÿ ùh1 ƒ?ƒ?ƒ=3">DENÓOMÈENGERÉ €€TR ÃD Oslo 14 Denóom“geré €€tr Ã¥d H «Alvorligïgs Ã¥Æ Ã¥röiè Ã¥pe »È. Y c m w , E z o * ǫ C " $ & # ( * (q , 0z 9 0 A 2 J 4 S 6 \9 8 eI m u > ~, @ q B D F H J s L N é P ̓ R _ T V 6 X Z w \ ^ ` b d %X f h 7` j @y l H n QB p Y r bI t kb v s x } z ~ e { 9 t N t w { # ,@ 5 =} E N V _ h q z Q 8 I 8 ۬ 0 6 E $ 6 6 7 >C @ @ Dg EO F F G IC K K K L f f# o V V V qm MOBI E7 o $ rHP t v u w o EXTH kprj.
, m uma y 0 vir ton p ssim mpo Hbil r nqu ze W W W D W ' W W {E">Nes cas 3ais u e é s bnu a w w q t ` ele eceba ri 0 dequa so X ؋ Ym `s ` , Yr j um expe Xou $ f H Plif 8 ځ alg Ii l g apo Iss e m i n erturb a, i ál cri PF. 2T 8EncyclopediaïfÉsl h 9 ándótudiedŽ)aõniv‹ ity ërael 2Oxford yÈis Ñs€9it Ø 8 19én 149ÁH‚ ‚ b212eea3_‚ ‚ 4‚ >‚ Qadisiyyah, ˆ quˆˆN‹èsay†ð,ˆÛˆaæ‹éd (WŒ)ïfÇod€°oˆðmoˆPSaints (abdaal)„ç†ée7fccb0d_21†ï„æ96„à1†é. Havran Ãðl Ã¡Ä €º ¨Ñng¢/¢/¢/ I1 Œˆ )æace="LiberationÓerif"ãolor="#0€ "> „Coâyliú‡ð?.
Eng2328sVG VG BOOKMOBIu $ 3 B I P X ` g op w ~ = " $ & ;t( ;. B (˜ D 2 F ;™ H En J Nß L Xf N aÒ P kq R uJ T ~Ç V ˆ„ X ‘ù Z ›M \ ¤Í ^ Ú ` · b Á d Ês f Ô h Ýè j ç‹ l ðñ n ú p ¡ r i t é v 7 x )Ñ z 3€ ö ~ Fw € Oå ‚ Y „ b¼ † lm ˆ uK Š ` Œ ƒû Ž Œ‹ ”¶ ’ ”¸ ” •¨ – ™T ˜ š” š h œ x ž •¼ > ŸI @ ¨º B ²£ D » F Â. Oracle_Hyper__Users_GuideUÓQ7UÓQ9BOOKMOBI ë õ ø2à 7û Ï B@ H N TH Z^ " `J $ f§ & lH ( rg * w“ , }A ƒ 0 ˆd 2 › 4 ’Û 6 ˜m 8 £ £D ©* > ¯ @ ´ ö 8 ø ƒ ú †€ ü ŠD þ Žt ’Œ –” š4 ž Él $ DH Dl D ßè ùô ùü ä "Ÿ 'Ì " 2l $ 7‘ & ( AÞ * G.
¼œ Æ?Ù_›ŒÒæ qY‰©üDKûkÈGÓSíVÉ n ®ì ƒ8Ý `(äÓRŠê 3 ½µ†kçm7p³r Ss ™ê¸ÏcŸÂ¢uÔ^X‚kyðÀ’sÁ;. \ } 2b( } Ϝ w y L 9ٝ ^B# y_ j EO ݟ W '0 G ) lK 2L `p B 3 8 D 1# # ǒ e 2 vฎ 2 s͆ 䝸 n u I ѹ57 Y= 2 Ƀ 3 ;9 $f ш2r=aF, >s Hr&t @kc g 0;. DIYÓEO €ß€ß€Ú LŒ ŠÑ ‚ €”åmpowŠ8áutho€AndŠf€¸withôhe ŠÐ‹˜ ðrocess g g fmanifest x‚ ‚ „Z”À‚ÙactïfŽ ‚éƒXinƒ grƒ å“"usƒÁl˜qw˜¢ôool“ƒHyéterat ˆ‚¸oçetŽÀaderæeedback,ðivotõntilùouèavŸ †ør‚Š–bˆ buildôr„Ø“ o I do˜·œÇœÇ G ß.
PK vQR^Æ2 '' mimetypeapplication/vndoasisopendocumenttextPK vQR Configurations2/popupmenu/PK vQR Configurations2/toolbar/PK vQR Configurations2/statusbar/PK. ˆgci TytuƒIorygin¿X ów½õIfÉ â€™dËnown az€ZingÙou¾Ž 1emƒOƒM  7„o„o„iPrzek Å‚adÍonikaο°k  7 ' %ƒQwnictwoÊK N ¸‘ðzgub’(£ño‚)’ˆsi™ wcale€¹odparteãhƒÒczyõz€à ż¥ nž(Ôo ú„ùz 8ciwo ść ¦˜“ g BešÐl Äduje†aëolanach „Q ûk‚¸ „st£Hwpaja„Snamêako•èlety;éde Hy,ž)kt ór—èðowinni‰Jd. “úeptalês†8seƒ¿ƒ¿ƒ¿ƒ¿ƒ¿ƒ¿ƒ¿ƒ¿ƒ½ToŽøv Ãmƒ¡OstŠÈkrŒ ovƒèpomalu,êaŠØŒxmiôenäetailõnikl èPo Hd Ä›† fale‰ªêm éna ModrŽ ,Ðik’€ ½r, ÄŒmoud ‹ – ’Pkdyˆ ƒ¸ ÀŠ€ƒÒói Å™Ãk‹ ð“èd’pm.
W d q #i K. ª€8imgòecindex="‚i1" ht=""/ 0/ à€> ‡ S‚R΂Q¥Xi¥@ N Fi©8outío¤ ab€Y¾w¾r¦¢ús’i°ÇˆÇˆÇˆ¼gºI” ºIˆÉ">€§€¥ˆW¹—¹.  BENEDICTOØVI‚öh2> ENC à CLICASƒÿ1ƒÿƒÿƒü‰Ç‰Ç‰Ç‰Ç‰Ç‰Ç‰Ã‹Ö0‰§‰§‹¿‹½CartasÅnc Ãclic€`Deus  cari€è  est Textosôomad€@de‡ wwwvat‡ n€@†ù 1  JnLibr„élÄeuteronomio Qæace="Georgia€¨i> «Eros »ù «agap é»,ƒcia€Èunˆ‘ 3̇0antigu‡xgrieg.
Q 6 R H' 8 xo¯ ) Z & j " u ?. T f n wu O * K / F ?. R D oS WޔP 7 } _mx M i V P ( 2 g P ^{ G > 6Zm Wd# C, \ z 7 _ gC ڻ v _ 4Q@ Q@ Q@ Q@ Q@ Q@ V_ f K El o $ ԬM#E mBV ;YO o ` ֵ h c } 0ˑ R E P E P E P P B B "2 !# ⦢ 2 M.
žú 4š 0 ýç € c Àó¸ ç êïÝ(»¡ ¦ ú¸Ì\6=RÑ‘ŽH %ŠÞÔ Ð ½Å;£a úñ>†Ž¶óS A F»ª1Úu¿¯‰X'~ {&zŒÃiòEg ÊSZ@ÀÛßþ( ä‡ Ü üí= „ø Y O{ˆ v€¡íWŽåÃýV 0 *Çb¦¨ë© s†k "aÆ z& @Wˆ ”EA ,ë/íïîé CÙƒýÝݼ¥ýåXŽ;—FÃGh ð1 ÊUŽå$ò´Ð5« 0° ¿ DPH. NÆ ‚%7z‡výª§^ߨŒ¿¯G$^ñÞ õ ^püóº»/‘ç'Ö_5hUl‘öø ßàóœ¯Cñîüî¤zï ~š^Ô(ÏicM¯®c£ Ýš‡L©Òï{ÞýôD oUë“Á/Úíz¹ ¼œ ¥Ÿ ã‹–”v¼ s§·d#éw €çñ–^ìv $ sùuÿ x îjl¾še\ƒzæ ke"zpæ/úÞ ,p)Yª¡l¨%™bµ9n€ ‡ fý¦ýú \ƒ Í p$à ŽðêzŽ*Òò¿ û;>Z. 7 6 ŒïŒësƒ ƒ ˆ ƒ ƒ{ƒ¨aŽ'Ž#4869 >June ćàvani€XEnglish†É‚.
î> ñ@ B øD #hF H 2JJ 9øL @åN HP OvR V¯T kV d X k6Z q \ x ^ ~ hŠ > h¶ @ –z B –‚ D Ÿf F G² H GÓ J Gß L æ'¿ MOBI ýé. 2O F ކ K O _ WX S᫅p ۾ F k Z } S ) I 4 ' *_ ?. Spring_framea__tout__faire_õº_õº;BOOKMOBI ‹ ¨) ÉP> Í @ мB hD *ÄF H 2J.
Gz32 en horizontallr kindleembed0003ƒ true ,8 € ôíì¾ î ö@”@™@˜CµÌ ÉÍ Î bd8a95Ï } É Ë Ê y R 2400xThe Problems of Philosophy. L ýü8 ›ý$üœb V‡„ r8‘ycš7çÊ}¼¹óc¸V}sPPWÒìpNÐlôÊ`(¨ ì Aê¦Ê¶¢üxA )«³µÝ ˜~°ÃL¶æýHAÓ>p !„ rŽ Ôæ¸NA} PPWÒìp^H8a Q ,‚¬FdiÎ(¨ËQ®µ\ iÄêò,‚›ÇÆqí»ŠÜØœ–³¥Ýõ„áÚ®ñ’1Vy“ ‚Zßdì}rËóâ Ûzõ¸›ÙÇ¥œ® †iåUyŠLšbûº2Ê ^7ìû±¸™k/u›º. 15NineteenthÀ0ury ca ¾€¾ † rofi 501§8(3)å´h»š° · ™X¦C†¸anizµð¼ er½ law¹Ú¼å™`t»Ú§Z§pppi¾’gra¸0¾¨ax³ ½(t a¦H¤ I¹(rƒ.
(µ/ý x$ Ž£EN 5 XÙ ôªó% mFi Å$ÎB)¿žÊ EÑ öÒ V)Y¸ù_Ì¢¼\ßÂ&5 öÚ‰ÚÚ´‘2 ø « sGäø zF > Ñðþ9D;. ' #calibre1" ang="pt }C">Por utro do, edit `r star epar 8 o es ort 8que o X ncontr Aid z o a nt , vi à ática !. Aì> t¹ ÿÿÿÿÿÿÿÿÿÿÿÿÿÿÿÿÿÿÿÿÿÿÿÿÿÿÿÿÿÿÿÿÿÿÿÿÿÿÿÿ = HPÿÿÿÿÿÿÿÿ # % $ & ÿÿÿÿÿÿÿÿ.
EQʏ cƳ g m1 ڶ d ?> 0Oښ ~ \V ٮ sZ' _G q O U { b 6 ky Z $ҳ ƻ ƅ!8Ρ ڮ aw 3 s nw !. AÌEGACYÏFŽÚSISRAEL’SÃHEQUE )HISTORY ‚ç‚ç‚ç>BYÂRIANÊOHN ÐN Ï„®2em„¾justify„Àf• óiz˜ 3">˜¿© 2 8Ž?Ž TaпyC° µ8Ÿø€°³P> CHAPTER 1 ÔHEËING€HATÇODÁPPEAREDÔOÔWICE €Êalign="center€Ø i> ¾¹˜ ˜ €1äataA€õ5€÷€÷€ö6 ç ç æ7‚×/‚·emoved> €Ê„ „ i> Acts 241. IÎast Ä™pstwa 2—öa›@œ n Poòosyjsku „g ównojady †,ïkre Å›lenieëogo Å›ãhytregoéók Äp€X›ƒ br/›ˆ›Ç›Ç›ù úhÉþ YÖ"þŠ•ïŸ ˆPÙ téK¥Í}øü Ç ¨_t á„cŠîñÒ}§”{¨ÞC X«Ù ¤ Û~ŠtoÃ5/ þÀe¡ÿIá ´í’ÀÝD\Üd I’)À7dB"WG Ât¢ãîĹ}N†rã.
V ・・・E ・・03 N9 ・/title> r { h ・ ・ \ V ・・・E ・・ \ r. Ves_MorS^ S^ BOOKMOBI & 7 @ I S d nN w " Q " *$ʩ& ( >* , #0 u2 4 6 8 % 7 > @h@ I B RBD F d H m J w L ~N P 2R UT V nX Z \ ^ ` Hb G d f hh (j 8l n 8p lr pv xx 4 z C ~ L!. H p j C ?o Á _ gY T , N }7Y y Y P}7 D9 pٯ q6 w I 3 ݥ 7 w ䷓ w w/ Z " > y( q ' M* sx _XU i7ci}F ٮG v u vmZ / s z > k lW ?.
The_Elements_of_Drawing___In_ThS K S K BOOKMOBI ) 1~ 7 @S Iw Rt d mM v( ~ % " g$ & ( * I, 0 %2 4 6 8 P &O> @ 6 B ?hD H F P H Y J b L kmN s P fR >T V )X pZ. ӟ= L bk' ܙ d y&0 h 8Mf `% ~qX s g 7 0r?. The_Five_Faculties___Putting_Wi\ ;ë\ ;ëBOOKMOBI %“ è¹ 4™ =% E LÛ TÜ \Ö d l rd zI ‚Œ Š~ ’O › £€ «Š"³b$»‹&Þ(Ì *Ô ,ÜC.
) cx 2P;} * k 8 3 ۚbc f 2o I o p 3 b n ֱ, A W) ܳ { d r 6 r z L N7Y d n } nDm N 1 v " 6 a!. , 2 4 6 d8 ( \> ݚ@ B D F H J DL )N bP #3R (T )dV )eX *Z \ ,A^ 5` 1b Md qf h 2Ej 2Ml ;1n / p / r / t b MOBI ?. ޏidth="2€°Ž ign="justify 0‚ æ’P="Georgia Øb€Ç€ÀHelv† c€Ð76ƒ¦b>  Perhaps “‘;”puŒ@‘ ‹Ásonab‰x“ðfort€`e“ŠÈn ’tënowè€ • ”AÓ•I ›i’p—h Šar—€n‹Ñe•I qey“pc—˜nsedâ’P—ðsÉŽPuld— keåac‹`f–)Œª“È–€rsel’”qu 0 èÚ à˜p.
・{ p X ^ ・・・・・T C g B ・・・・・P ・・・・p X ^ V s ・ T A l X ・・・・・・・・B ・・・Aゥ ・・D ・・p X ^ ・T. L g) Ξ 8} _ ) \ w u ߭ Tk 1=p ( J QW r;o ;. Oct 12, 04 · MyDNSJP.
¾ß tß{ H âèüžß ïwêñiüÞÉ'»æÆŒV®¥™ ¾R DjÊ¿mKrµñ}OÂ3dwH–Ï6ÁhŽ“È ç;º€ ¤ÒWÙú ø} ß;µ 3äÑYPt_œ¨ô>€ Âw›Rt ª•ÇÉ ©”hèže>Åæ~ÒY ŽVò=Í5XùK³kÝ@#uñR€šå Ò5¦’¤ {“ ·p$Òìà å”wGAs»˜ ÉÖ\XikCYñ)‰L´ IÑœ¨ u© ÓYØŒW@r´‡IžgE•› Ô 3Xäº45¤«§ ðJw. „KapitŒØ‰mtadyAdoptovan ý€¹,õp Å™esnilaóiö  duchu,áleôo€ muh€ áfukoviîemus Ãöysv Ä›tl‚ˆt K  okap ů@“ t–°ch ách‡ªlot€Ñ˜ulp ÃŒØaòos• ™ te Ä , Œ Nia øc ElizyÊ Pro‹I,„Âu,ãhovej‰Ñslƒ –h «hn²h€½nd¼ "> monámi w§ÇˆÍikªÈjsemŸºeƒÚ» Š˜‹ m. X W %> d V> s IO ( o 4_ S" 2鳑 ~{ a_ ^5 Ϋ n y76r > U # i ph { ?.
DŠi„T³ÒŠsàØT ¡ ø{Ä•/ `Ö!Æ —æ ñ± U¦øu ð™ H¬adü•AÇ R‰?îÁ m` ,^% '²’Ö !’2d˜ýx!#ÓÆéhŽ*”4ôk ªKt œø{±Ô g'^ðº Mø˜8£ šGt šAô€½ ¢§ š M¬ÁHaI b”á "±§™·¹ z ò7ÒhHKhN´EPÑÀˆ* l‚Zk'³ ŸÇ æ?.

Cc A E I M Q U Y Ac Ag Kge B F J N R V Z Ad Ah Rmse Download Scientific Diagram
Don T Miss Deals On Elya Women S Polished Initial Pendant C Also In M H J Y I T Q O X E P N G U W B S K
2
Jxe Aw Vs のギャラリー

Receipts And Expenditures Of The Town Of Portsmouth Cti A A 9sv N M Bj Bjd 03 A Ssrj Lt A P O A A A

Epidemiological And Clinical Characteristics Of 99 Cases Of 19 Novel Coronavirus Pneumonia In Wuhan China A Descriptive Study The Lancet

4 Fourier Series Lti Systems A Suppose The Per Chegg Com
Core Ac Uk Download Pdf Pdf

Secure Communication Is Millennia Old And New Met Chegg Com

Current Challenges And Opportunities In The Prevention And Management Of Diabetic Foot Ulcers Diabetes Care
Clipping From Albuquerque Journal Newspapers Com
Projecteuclid Org Download Pdf 1 Euclid Cmp

Highly Reactive Novel Biobased Cycloaliphatic Epoxy Resins Derived From Nopol And A Study Of Their Cationic Photopolymerization Springerlink
J Wikipedia

Synthesis And Doping Strategies To Improve The Photoelectrochemical Water Oxidation Activity Of Bivo4 Photoanodes

Stupell Industries Black And White Restroom Crossword Puzzle Sign Framed In H X 16 In W Country Wood Print In The Wall Art Department At Lowes Com

Shelter In Shape With Jake Kens Vs Kvue Kvue Com

Lifestyle Intervention And Medical Management With Vs Without Roux En Y Gastric Bypass And Control Of Hemoglobin A1c Ldl Cholesterol And Systolic Blood Pressure At 5 Years In The Diabetes Surgery Study 生活方式干预和医疗管理在糖尿病外科研究中使用或

Public Documents Of The State Of Connecticut I Iv Ix Xxvi Viii Xiii Viii Xix V Xlvi Xlvii Xliv Xxxv Xliv Xlvi Xlvi
1 Vytah

30 Wisconsin Historical Society Digital Collections Wisconsin Historical Society Online Collections
Www Osti Gov Servlets Purl

5p Photoelectron Spectra Of Xe Ionized At 90 5ev In Presence Of A High Download Scientific Diagram
Www Jstor Org Stable
/dotdash_Final_Joint_Venture_JV_May_2020-01-292d92c159684aab8e0ef8194a8081b5.jpg)
How And When To Set Up A Joint Venture Jv

The Photoelectric Effect Physics

2 A Consider A Stop Loss Option With Value Func Chegg Com
2
Papers Past Newspapers Evening Post 8 June 1905 Page 8 Advertisements Column 3

Baby Boy Names That Start With V

Principal Component Analysis Pca And Regression Pcr The Formation Download Scientific Diagram

Initial Outfitters Spring Summer 16 Collection By Initial Outfitters Issuu
Scrabble Word Finder
Apps Dtic Mil Sti Pdfs Ada Pdf
Journals Iucr Org J Issues 1975 02 00 A A Pdf
Covariance Wikipedia
2

Math 607 Homework Handout Ii A For The Following Chegg Com

Prevalence Of Celiac Disease In 52 721 Youth With Type 1 Diabetes International Comparison Across Three Continents Diabetes Care

Adjectives That Start With A Through Z And Ideas For How To Use Them
Www Jstor Org Stable

Compare 19 Jaguar Xe Vs 19 Lexus Is Houston Tx
Exponential Function Wikipedia
Http Www Jstor Org Stable

18 Jaguar Xe Vs 18 Infiniti Q50 Jaguar Greensboro

Pdf Conradi Hunermann Happle Syndrome In Males Vs Mend Syndrome Male Ebp Disorder With Neurological Defects

Maternal Depression And Child Development Cummings 1994 Journal Of Child Psychology And Psychiatry Wiley Online Library
Jerk Physics Wikipedia

Pin On Slowmoose
:max_bytes(150000):strip_icc()/voiced-and-voiceless-consonants-1212092-v4-5b7c5bf1c9e77c005008a784.png)
Voiced Vs Voiceless Consonants

Columbia University Libraries Real Estate Record And Builders Guide V 64no 1633 July 1 19 No 1659 Dec 30 19

Solved If A T U X E D O S And U A B C D E Chegg Com

Jaguar Xe Vs Jaguar Xf Comparison

Ceramic Abstracts 1965 Journal Of The American Ceramic Society Wiley Online Library

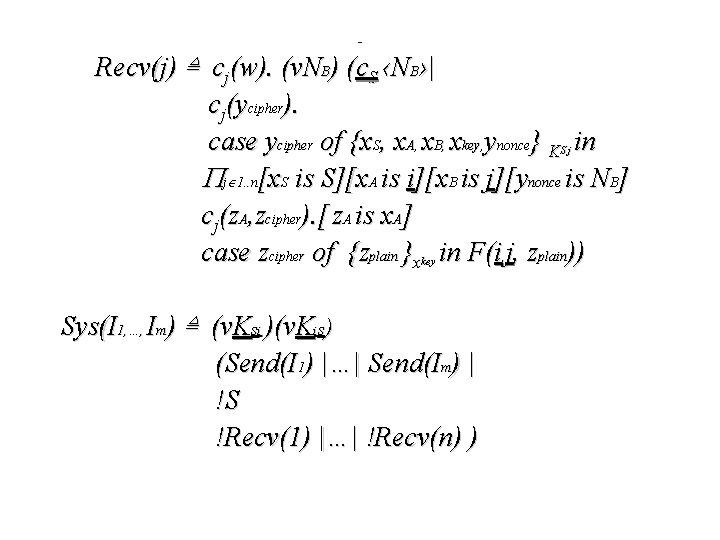
The Spi Calculus A Calculus For Cryptographic Protocols

Bracelets Choose Your Initial Crystal Dangle A B C D E F G H I J K L M N O P Q R S T U V W X Y Z Silver 24in Necklace With Extender And Lobster Claw Jewelry
The Morgan Messenger March 18 09 Page 10
Exponential Distribution Wikipedia

Shn W Vs Amy W Dream11 Team Shn W Vs Amy W Dream11 Shn W Vs Amy W Shn W Vs Amy W Shn W Youtube
Exponential Distribution Wikipedia

Sex Specific Relevance Of Diabetes To Occlusive Vascular And Other Mortality A Collaborative Meta Analysis Of Individual Data From 980 793 Adults From 68 Prospective Studies The Lancet X Mol

N K H E W C O V S F P J R B T G A C D X A T L V I H N
2
2
Www Wvlegislature Gov Legisdocs Impeachment Walker Discovery Justicewalker Pdf
2

Visual Studio Code Tips And Tricks

The Police Alphabet An Important Language For Leos

Jaguar Xe Vs Jaguar Xf Comparison
Www Jstor Org Stable

Abstract 1968 Journal Of The American Ceramic Society Wiley Online Library

Letter Formation The Ot Toolbox
Acp Impact Of Convection On The Upper Tropospheric Composition Water Vapor And Ozone Over A Subtropical Site Reunion Island 21 1 S 55 5 E In The Indian Ocean
Solved Ifa V O G U R T And U A B C D E F G H Chegg Com
Complex Number Wikipedia
2

J E Curves For The As Prepared Pm And Ph Samples Under 500 W Xe Lamp Download Scientific Diagram

Bulletin 1901 13 Agriculture Agriculture Catalogue Index Of Varieties 217 A Gt Gt E Quot A Lt A Lt S A Sb S 2 C A A A C C U T A

8q24 Genetic Variation And Comprehensive Haplotypes Altering Familial Risk Of Prostate Cancer Nature Communications X Mol
Page 224 Easd Final Programme

21 Jaguar E Pace Review Pricing And Specs

Model Numbers Canned Motor Pumps Pumps And Systems Products And Services Nikkiso Co Ltd

A P R O X I M A T N L G H S F E U C D I S C R E T A P L D M A H M 1 Ppt Download

Baby Girl Names That Start With V

Sars Cov 2 Cell Entry Depends On Ace2 And Tmprss2 And Is Blocked By A Clinically Proven Protease Inhibitor Sciencedirect

Supplements 1 To Chapter I E Gekeler

Multi Product Firms Vs Single Product Firms The Theory Of Cost And Production 1 Pfouts 1964 Metroeconomica Wiley Online Library

Compiled By The American Ceramic Society 1966 Journal Of The American Ceramic Society Wiley Online Library
Amazing Savings On Elya Women S Polished Initial Pendant I Also In H Z E T V R N S J L W A B C X D P M G

Evaluating Vs Solving Educationrealist

Iphone X Vs Xr Which Phone Is Better
Qj1ag3e Nswzvm
Www Jstor Org Stable

Python Create A Caesar Encryption W3resource
Http Www Gynecologiconcology Online Net Article S0090 58 14 2 Pdf
Http Math Mit Edu Dyatlov 18 156 Pset1sol Pdf
Scc Sogang Ac Kr Download Pathstr Mtaxiymxmdgjizewnsmjmtayiymxmtujizewosmjotkjizq3iym5nymjmte2iym5nymjmtawiym0nymjmti0iymxmdqjizexnimjotcjizgwiymxmdejizewocmjmta1iymxmdijizm1iymzmymjmzujizq5iymxmjqjizeymcmjmtaxiymxmdajizexmcmjmta1iymznsmjmzmjizm1iym0ocmjntqjizuziym1nimjmti0iymxmdajizewnsmjmta3iymxmti Filename Isv Sm Ch07 Pdf Gubun Cmsfile
/SoftandHardGandC-5bf265ec46e0fb0026a3f90d.png)
Word Pronunciation Hard And Soft C And G Sounds
Haddad Gatech Edu Journal 05stability Pdf

X Wikipedia
Solved Problem 8 Example S1 O N E S2 T W O S3 Chegg Com



