Ci Vs
The Central Board of Secondary Education (CBSE) is a national level board of education in India for public and private schools, controlled and managed by Union Government of IndiaThere are approximately 21,271 schools in India and 2 schools in 28 foreign countries affiliated to the CBSE From 309 schools in year 1962, as on year 19, CBSE has 21,271 schools and 228 schools in 25.
Ci vs. The CV's main designer was Heinrich Oelerich, and it was produced in larger numbers than any other German aircraft during World War I About 00 were manufactured by DFW and about 1,250 licence manufactured by Aviatik (as the DFW CV(Av). CIVS Embarking on the SS Pembroke Castle (1900) cast and crew credits, including actors, actresses, directors, writers and more. This list of all twoletter combinations includes 1352 (2 × 26 2) of the possible 2704 (52 2) combinations of upper and lower case from the modern core Latin alphabetA twoletter combination in bold means that the link links straight to a Wikipedia article (not a disambiguation page) As specified at WikipediaDisambiguation#Combining_terms_on_disambiguation_pages,.
Try out our Premium Member services Virtual Legal Assistant, Query Alert Service and an adfree experienceFree for one month and pay only if you like it. CIVS at Cape Town (1900) cast and crew credits, including actors, actresses, directors, writers and more. A société à responsabilité limitée (SARL, Sà rl and similar;.
CIVS COMMUNITY SERVICE – KENYA Accueil > Le Mécénat > CIVS COMMUNITY SERVICE – KENYA Created in 1997, the Center for International Voluntary Service Community (CIVS) is committed to the poorest communities in Kenya In Kenya, half of the population lives under the poverty threshold. Capacitance is the ratio of the amount of electric charge stored on a conductor to a difference in electric potentialThere are two closely related notions of capacitance self capacitance and mutual capacitance 237–238 Any object that can be electrically charged exhibits self capacitanceIn this case the electric potential difference is measured between the object and ground. Word unscrambler will unscramble letters and find possible words Enter your scrambled letters and uncover the hidden words!.
Civ Sas, Sant'Egidio alla Vibrata 572 likes Il Centro Ingrosso Vibrata (CIV) nasce nel 19, è presente sul mercato dell'intimo all'ingrosso con esperienza ventennale La nostra attività si. C i L 1778 = i C(0) 15 or i C(0) = 0278 mA (b) v L(0) = v C(0) = 0 But, v L = Ldi L/dt and di L(0)/dt = v L(0)/L = 0 di L(0)/dt = 0 Again, 80 = 45i R v C 0 = 45di R/dt dv C/dt But, dv C(0)/dt = i C(0)/C = 0278 mohms/1 PF = 278 V/s Hence, di R(0)/dt = (1/45)dv C(0)/dt = 278/45 di R(0)/dt = A/s Also, i. The Vermont Statutes Online Title 17 Elections Chapter 055 LOCAL ELECTIONS Subchapter 002 Town Meetings and Local Elections in General (Cite as 17 VSA § 2642) § 2642 Warning and notice contents (a)(1) The warning shall include the date and time of the election, location of the polling place or places, and the nature of the meeting or election.
Empowered by deep learning algorithm, Hikvision AcuSense series network cameras detect and recognize people and vehicle targets Selected models can also perform strobe light and audio alarm for onsite response in real time. Hikvision is a world leading IoT solution provider with video as its core competency Featuring an extensive and highly skilled R&D workforce, Hikvision manufactures a full suite of comprehensive products and solutions for a broad range of vertical markets. Gci and vs nw corner water st n and storey stone bldg location at se corner s face 11m above grade and 24cm w of cpr 3 of bldg on corner m site benchmark elev = concrete retaining ex 500mm wide concrete bench woll o ex mh ex mh top nut of hydrant east st side of water street shown on plan mte pnt # 9006 ex shrubs ex cb.
Claim it now Make sure your information is up to date Plus use our free tools to find new customers. Dec 13, 16 · Compilation of Social Security Laws §1902 STATE PLANS FOR MEDICAL ASSISTANCE Sec USC 1396a A State plan for medical assistance must—provide that it shall be in effect in all political subdivisions of the State, and, if. WYNN RESORTS, LIMITED WynnMacau Wyrin Macau ppened on September 6,/06 ,Wynn Macaucurrently features approximately 595 hotel 'rooms and suites,, 410 table,games, 935 slot machines^and a poker roorn in approximately"^222,6bO.
CIVS March on Johannesburg Documentary, Short Add a Plot » Added to Watchlist Add to Watchlist View production, box office, & company info The Best Movies and Shows to Stream on Netflix Add our editors' Netflix movie and TV picks to your Watchlist, including "Bridgerton," David Fincher's Mank, and more See our picks. Dec 16, 17 · Normal cellular practice is to specify C/I to be 18 dB or higher based on subjective tests Because a C/I of 18 dB is measured by the acceptance of voice quality from present cellular mobile receivers 12/16/17 M V S SUDHEER BABU (mvssbabu@gmailcom) 15 DESIRED C/I FROM A NORMAL CASE IN AN OMNIDIRECTIONAL ANTENNA SYSTEM (Find the desired C/I. This item The Old Scofield Study Bible King James Version, Standard Edition by C I Scofield Hardcover $2499 Only 18 left in stock (more on the way) Ships from and sold by Amazoncom FREE Shipping on orders over $2500 Details Scofield Reference Notes to the Bible 1917 Notes by CI Scofield Paperback $777.
Hikvision DS2CD65G0/CI(S) DualLens People Counting Network Camera. Now Stainless Steel SuperStreet 21 50 State Exhaust System for 10 Softail ® models SHOP NOW. Take a look at @DynamicCCTV's latest video release @Hikvision's Density control solution for DS2CD65G0/CI(V)S & Iseries NVRThis Video will help you navig.
BCIVS 1969 Date(s) 1969 (Creation) Level of description File Extent and medium 1 file Context area Name of creator Hastings County Historical Society (1957) Repository Community Archives of Belleville and Hastings County Archival history. B C I V S Elevator Anniversary Edition 1928 1978 Belleville Collegiate Institute and Vocational School by Buckley, W F (editor) Edition First Edition Book condition VG Book Description Belleville, Ontario, Canada Belleville Collegiate Institute and Vocational School, 1978 Number 538 of 10 copies, 400pp w. L u n a r S u r fa c e S c i e n c e W o r k s h o p (L S S W ) S e s s i o n V S c i e n c e E n a b l e d b y Mo b i l i ty 1 Overview Session V of the NASA Lunar Surface Science Workshop (LSSW) was held on October 28th, via a virtually enabled conference platform to accommodate COVID19.
Wakefield Family History Sharing Abbreviations used in the Armed Forces They are mainly taken from WW1 and I hope they will help you when looking through Absent Voters Lists, War Diaries and Official Documentation. NCIVS Northern Collegiate Institute & Vocational School, often shortened to Northern, is a secondary school in the LambtonKent district school board. May 15, · DS2CD65G0/CI(V)(S) 2 MP IR Network Camera 1/27" Progressive Scan CMOS 19 × 1080 @ 30fps 2 mm fixed lens Digital WDR.
Jan 01, 16 · The CDC AZ Index is a navigational and informational tool that makes the CDCgov website easier to use It helps you quickly find and retrieve specific information. CIVS Playing Leap Frog Documentary, Short Add a Plot » Added to Watchlist Add to Watchlist View production, box office, & company info The Evolution of Keanu Reeves From River's Edge to "Cyberpunk 77" take a look back at the career of Keanu Reeves See the full gallery. View MUTACIÓN VS SÚPER ORGANISMOSpdf from BIOLOGY at St John's University M U T A C I Ó N V S S Ú P E R O R G A N I S M O S AGENTES MUTÁGENOS AGENTES MUTÁGENOS.
1_, >I· '·'···1· ·,'" · '" ' r • !. P a l a c i v s, Cali 413 likes · 3 talking about this Facebook is showing information to help you better understand the purpose of a Page. Word Unscrambler Unscramble or descramble words and letters Unscrambleme helps you in board games like Scrabble, Words with Friends and many more.
C I D V S Zombie Gujarati full comidi Video New 21 premji ni moj narali ni moj aektar premji thakor vijay thakor rahul thakor sachin thakor પ્રેમજીભાઈ. Services APTC Army Physical Training Corps GB AR Assam Rifles I ARCS Australian Red Cross Society AUS ARUAIF Australian Remount Unit AUS ASC Army. Literally "society with limited responsibility") is a form of private company that exists mainly in Frenchspeaking countries, such as France, Luxembourg, Monaco, Algeria, Morocco, Tunisia, Madagascar, Lebanon, Switzerland (where it is also designated by GmbH or Sagl), and Belgium (where, since 1 May 19, it is also.
'l ' 1 j ~· ' ~ ;,, i ·d H· •\, ·' ,,~ ,\·~ ~· • • NM3573Z. View Donald Amos’ profile on LinkedIn, the world’s largest professional community Donald’s education is listed on their profile See the complete profile on LinkedIn and discover Donald’s connections and jobs at similar companies. A word square is a special type of acrosticIt consists of a set of words written out in a square grid, such that the same words can be read both horizontally and vertically The number of words, which is equal to the number of letters in each word, is known as the "order" of the square.
VX is an extremely toxic synthetic chemical compound in the organophosphorus class, specifically, a thiophosphonateIn the class of nerve agents, it was developed for military use in chemical warfare after translation of earlier discoveries of organophosphate toxicity in pesticide research In recent years, VX was found to be the agent used in the assassination of Kim Jongnam. View and Download HIKVISION DS2CD65G0/CI(V)(S) user manual online Density Control Solution via People Counting Camera Alone DS2CD65G0/CI(V)(S) digital. CIVS at Cape Town Documentary, Short Add a Plot » Added to Watchlist Add to Watchlist View production, box office, & company info Holiday Movie Stars, Then and Now Ever wonder what A Christmas Story star Peter Billingsley and other adorable kids from holiday movies look like now?.
Jul 15, · Transporte & Logística CIVSA Defensores del Chaco 767 Paraguay Get directions See More Is this your business?. At sea Marine CCTV systems are a great help offering a realtime view on the bridge during maneuvering and berthing/unberthing operations Risks and complexity of threats like piracy, smuggling, and terrorism requires instant view around the vessel to determine the actions to be taken in case of threat. Check out our gallery.
Search through our comprehensive database of words using our advanced word finder and unscrambler. Powered by Create your own unique website with customizable templates Get Started.
Cross Plots Of C Vs O A O Vs S B Cas Vs S C And C Vs S D Download Scientific Diagram

19 Honda Hr V Vs 19 Toyota C Hr
Introduction To Integration
Ci Vs のギャラリー
C Wikipedia

Difference Between Structure And Union In C Geeksforgeeks

What S The Difference Usb Pd 2 0 Vs Usb Pd 3 0

T C Ratio Vs Lh Numerical Value Easy Home Fertility

Journey From Supercapacitors To Supercapatteries Recent Advancements In Electrochemical Energy Storage Systems Springerlink

Solved Now The Switch In Figure 5 Closes At T 0 Sec See Chegg Com

Visual Studio Code Code Editing Redefined
V Notch Weir Discharge Calculator And Equations

Pointers In C Programming What Is Pointer Types Examples

Thunderbolt 3 Vs Usb C What S The Difference

Erection Of Earthing Arrangements Tnc Tn S Tnc S Tt Eep

Activated Protein C Resistance An Overview Sciencedirect Topics

Difference Between Parabola And Hyperbola Parabola V S Hyperbola

Co 2 3 He Vs D 13 C Co 2 Binary Diagram End Member Compositions Of Download Scientific Diagram

Angol Oneletrajz Irasa Grammarly Hasznalata Hibak Javitasara Angol Intezet
/dotdash_Final_Pre_Money_vs_Post_Money_Whats_the_Difference_Sep_2020-01-0a7184fe21204088baa6bfaa52db3217.jpg)
Pre Money Vs Post Money What S The Difference

Shutterstock Puzzlepix

Thunderbolt 3 Vs Usb C What S The Difference
Conversion Of Temperature Celsius To Fahrenheit

Shutterstock Puzzlepix

Wireless Charging Vs Wired Charging Which One Is Better Pitaka
Velocity Addition Formula Wikipedia

Tetrahedral Amorphous Carbon An Overview Sciencedirect Topics

Enhanced Plasmon Driven Photoelectrocatalytic Methanol Oxidation On Au Decorated A Fe 2 O 3 Nanotube Arrays Chemical Communications Rsc Publishing Doi 10 1039 C8ccg
/cv-vs-resume-2058495_final-f755764d41cc4bae8175574b5341bab4.jpg)
The Difference Between A Resume And A Curriculum Vitae

A Pdos For V Solid Line And S Dashed Line Of Vs 2 B Pdos For V Download Scientific Diagram

Lekerdezesfordito Adatbazisok Ppt Letolteni

C Anca Vs P Anca Autoantibodies Autoimmune Diseases Youtube

The Van Der Waal S Equation Of State For Some Gases Can Be Express

Oriented Transformation Of Co Ldh Into 2d 3d Zif 67 To Achieve Co N C Hybrids For Efficient Overall Water Splitting Chen 19 Advanced Energy Materials Wiley Online Library

Shutterstock Puzzlepix
Visual Studio Code Wikipedia

Unit 2b Power Transmission By Belts

Voting And Bribing In Single Exponential Time

Usb C Vs Lightning Which Is The Future Pitaka
The Velocity V Of A Particle At Time T Is Given By V At B T C

Thunderbolt 3 Vs Usb C What S The Difference

Electrical Energy Power And Charge
:max_bytes(150000):strip_icc()/voiced-and-voiceless-consonants-1212092-v4-5b7c5bf1c9e77c005008a784.png)
Voiced Vs Voiceless Consonants

Typecasting In C Implicit Explicit With Example
Solved Frequency V Use The Equation Lambda C V Where C Chegg Com

Faq S Cement

Thunderbolt 3 Vs Usb C What S The Difference

Grafok Szelessegi Bejarasa Dijkstra Algoritmus Ppt Letolteni

Explanation Of Photocoupler Optocoupler Specifications Renesas

The Velocity V Of A Particle At Time T Is Given By V At B T C

The Happiness Formula H S C V Brevedy
Power Supply System By Surge Protection Devices Spds

Sputnik V Covishield Covaxin What We Know About India S Covid 19 Vaccines c News

Three Capacitors Each Of Capacitance C And Of Breakdown Voltage V Are Joined In Series The

Visual Acuity Anne Bjerre October 16 Content Define

Relacios Algebra 1 Resz Pdf Ingyenes Letoltes

Lab 4 Charge And Discharge Of A Capacitor

Margin Vs Padding Javatpoint

Vbac Vs Repeat C Section Which Is Right For You
Technofunc Clearing V S Suspense Account

Chapter 7 Rl And Rc First Order Circuits Ppt Download
:max_bytes(150000):strip_icc()/voiced-and-voiceless-consonants-1212092-final-ef2ba49d76cb4d508e740833be4da7a7.png)
Voiced Vs Voiceless Consonants

Catalysts Free Full Text Ex Situ Electrochemical Characterization Of Iro2 Synthesized By A Modified Adams Fusion Method For The Oxygen Evolution Reaction Html
This Next Group Is About Finding Equilibrium Poi Chegg Com

Post Quantum Key Exchange For The Internet And The Open Quantum Safe Project Springerlink

How To Pick The Best Liposomal Vitamin C Plus Risks Benefits How To Pick The Best Liposomal Vitamin C Plus Risks Benefits Core Med Science

Micro Usb Usb Type C Apple Lightning Everything You Need To Know Abou Pitaka

Filtering Duplicates On The Command Line 30x Faster Than Sort Uniq By Karolin Varner Adobe Tech Blog Medium

Mi A Logika Regebbi Elnevezes Ppt Letolteni
/cv-vs-resume-2058495_final-f755764d41cc4bae8175574b5341bab4.jpg)
The Difference Between A Resume And A Curriculum Vitae

Solved The Switch In The Circuit Shown Below Has Been Clo Chegg Com
/dotdash_Final_Pre_Money_vs_Post_Money_Whats_the_Difference_Sep_2020-01-0a7184fe21204088baa6bfaa52db3217.jpg)
Pre Money Vs Post Money What S The Difference

Protein C Assays

Gcc And Make A Tutorial On How To Compile Link And Build C C Applications
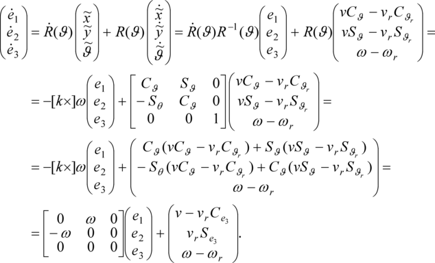
Iranyitasi Rendszerek Elmelete Es Tervezese Ii 12 3 1 Mobilis Robot Iranyitasa Statikus Visszacsatolassal Mersz

Eadie Hofstee Plot Youtube
Density Wikipedia

R C Cooper V Union Of India Bank Nationalization Case Case Summary Law Times Journal
This Next Group Is About Finding Equilibrium Poi Chegg Com

M C Mehta Vs Union Of India Ors Law Times Journal
Strukturalis Magyar Nyelvtan 3 3 8 A Kepzok Osztalyozasa Mersz

Lekerdezesfordito Adatbazisok Ppt Letolteni

Gnu Compiler Collection Wikipedia

Fitting With Low Launch Low Spin Shafts Modus 1 Project X And C T

Usb C Vs Lightning Which Is The Future Pitaka

3 2 Instantaneous Velocity And Speed University Physics Volume 1

Relativistic Energy Physics

A Synergistic Vertical Graphene Skeleton And S C Shell To Construct High Performance Tinb 2 O 7 Based Core Shell Arrays Journal Of Materials Chemistry A Rsc Publishing Doi 10 1039 C8tae

High Rate Discharge Battery Vs Normal Battery Genstattu

Pointers In C Programming What Is Pointer Types Examples

Pdf L C Production In Pp Collisions At Sqrt S 7 Tev And In P Pb Collisions At Sqrt S Mathrm Nn 5 02 Tev

Ford B Max C Max Ii Focus Iii Kuga Ii Mondeo V S Max Transit Connect

Epika Es Koltoiseg Szabics Imre Regikonyvek Webaruhaz
A Horizontal And Vertical Symmetry B Rotational Symmetry We Divided Download Scientific Diagram

Hybrid Energy Storage Of Ni Oh 2 Coated N Doped Graphene Aerogel N Doped Graphene Aerogel For The Replacement Of Nicd And Nimh Batteries Scientific Reports

Rocket Music Neckinfo

Visceral Fat Metabolic Activity Evaluated By Preoperative 18 F Fdg Pet Ct Significantly Affects Axillary Lymph Node Metastasis In Postmenopausal Luminal Breast Cancer Scientific Reports
Psg V Bayern Munchen As It Happened

Modell Ellenorzes Model Checking Ppt Letolteni



