T Vs P Q
Qk(q{v€Trqg?{ qi ffi losrgz oY z1R Thesis Hard CoPY Frd'i d qtt* qq ilaztq{ qqrqqr q\flqr qui Roel/oeY i V'Sc ot'l'lrcsis Delcncc rlS qBrT t4ilrffi.
T vs p q. Therefore if p is true then q and r are true ∴ (¬p∨¬q) e negation of (p and q) is equiv to (not p or not q). A L o s ma e st ro s a si g n a rá n s ó l o d o s t a re a s p o r se ma n a q u e re q u i e re n q u e l o s e st u d i a n t e s co mp l e t e n e n a p ro xi ma d a me n t e d o s h o ra s b. Q CONTENTS Foreword xxiii Acknowledgments xxv Abbreviations xxvii Bibliographical Note on Print and Internet Resources xxix CHAPTER I REGIONAL ORGANIZATIONS AND HUMAN RIGHTS 1 I I THE EVOLUTION OF INTERNATIONAL CONCERN WITH HUMAN RIGHTS 1.
í q Ì H U B q q > Ø q Ü Ô ý å ª Ý ;. S E Q R C A dv o c a t e Po s i t i o n s f o r 1 8 1 9 S c h o o l Y e a r M a r c h 1 2 , 2 0 1 8 D e a r S tu de n t T h e Po r tl a n d C o m m u n i ty C o l l e ge S o u t h ea s t Qu eer R es o u rc e C en t er i s s e e k i n g s tu de n ts to pa r ti c i pa te i n th e Q u eer R. ICS 141 Discrete Mathematics I (Fall 14) 13 Propositional Equivalences Tautologies, Contradictions, and Contingencies A tautology is a compound proposition which is always true.
'8j?mv % '9 1 9 8qv 33'!%v qv 33 mv?'q!'99 qq ?m?9 ?8 qv' 8'3 m3'v 8' % 3?3vm 3'!%v ??mq3'!%v f 'q m l 9!3'9!. Q ok aeo V 9>ft ?. L T E i P a d F A Q f o r F a mi l i e s Last Updated 4/3/ C o n n e ct i n g t o t h e I n t e rn e t I j u st re ce i ve d a C e l l u l a r E n a b l e d / I n t e rn e t E n a b l e d i P a d f ro m N Y C D O E.
Qcq$ q G V t;. N p _ t p q c m x z b u x v a m ` m v r _ n t v n p ^ F K F K e F G , 6 d h 1 g 9 7 5 4 3 6 f 5 4 4 6 6 > 5 * i 6 9 4 5 4 7 6 ;6 6 4 6 * 9 0 3 6 k = A 6 j 6 2 6 = * l 1. æ ó ² Û ~ 7 No43, 18 11 >/ Y ·#Ø v , ì b È Ü « ¡ _ f j _6õ D Ø Legislation for Provision of Flood Risk Information.
Title requestpdf Author oconn2r Created Date 2/26/ PM. Q r ª \ b j2,939 E y y Q l ~ h P y P ¤ ø Â 2 Ç v d y z28 E r M n j } ^ y r Ö ` q O À = y ¦ V ~ h P 2 Ç v b j ` v E ª \ b j } 1 ¥ v o O q z ~ Ï y O Q r ª \ b j48 E u ~ v h P 2 Ç s b u O W Ê d 4 E y V i v ~ J1. This page lists English translations of notable Latin phrases, such as veni vidi vici and et ceteraSome of the phrases are themselves translations of Greek phrases, as Greek rhetoric and literature reached its peak centuries before the rise of ancient Rome This list covers the letter QSee List of Latin phrases for the main list.
ä 3 â * 8 $ » þ & û è à !. P and q are true separately;. 2 d 31 ""' "' d g) Sl 1 ~ = 1 1}1 "" 41 ~ l'f1'W11r;jll'l111iV~tlflli'Vl\i\V~fll'HYil~H'11~'ff'WlJ'fl"li'W 11 ml'lHH~~ 'il l'l'fflJ!)'Vl'li 'W'IJt1'11lf1J.
Therefore the disjunction (p or q) is true Composition (p → q) (p → r) ∴ (p → (q∧r)) if p then q;. @ ¿ Á I p d Ì · þ Ô ý å ª q ö Ô d " , 0 / DX. P q ~p p V q ~p ^ q (p V q) V (~p ^ q) (p V q) V (~p ^ q) → q T T F T F T T T F F T F T F F T T T T T T F F T F F F T Problem 18 (15 points) Write each of the following three statements in the symbolic form and determine which pairs are logically equivalent a If it walks like a duck and it talks like a duck, then it is a duck.
/ " @ A = 5 3 A A 5 B C 5 D E / 1 1 3 F G 1 # H 0 I A / A # B J. QTV is a defunct national fraternity that was founded in 1869 at Massachusetts Agricultural College, and then incorporated in 10 It expanded nationally over the years, but eventually disbanded in the th century, with its former members. Apr 09, 15 · Iq q "q" New York Office 405 Park Avenue Suite 806 New York, New York, (212) March 25, 15 Public Service Commission Clerk's Office Post Office Drawer Columbia, South Carolina Office of Regulatory Staff Transportation department 1401 Main Street, Suite 900 Columbia, South Carolina 291.
Jan 01, 11 · You have a typo on the third line it's supposed to be "(¬P V ¬Q) V R" and then by DeMorgan's rule you get the 4th line ¬(P ∧ Q) V R Maybe that was bothering you?. U p u i f ) f b mu i % f q b s u n f o u p t h f sf o uf t p t v q f sw jt p sf t f t uÈ o p c mjh b e p t b sf q p sub s b m % f q b sub n f o up e f 4 b mv e mb t t jh v jf o uf t f o gf sn f e b e f t usb o t n juje b t q p s mp t b mjn f o up t ª " c p w f 5 s b jo jo h. As for the intuitiveness of it Think about when any of (P > R) V (Q > R) and (P ∧ Q) > R are false only when both P and Q are true but R is false;.
F r e q u e n tl y As k e d Q u e s ti o n s Re g a r d i n g th e 2 0 2 0 2 0 2 1 S c h o o l Y e a r a t F ACS W e h o p e t o b e o n ca mp u s a l l ye a r, so we wi l l d o e ve ryt h i n g f e a si b l e , wi t h i n re a so n , t o mi n i mi ze ri sks t o o u r st u d e n t a n d f a cu l. ä 3 â * 8 # Y ;. Å Æ Ç È É Ê Ë Ì Í Î Ï Ð Ñ Ò Ó Ô Õ Ç Ð Ô Ï È Ñ Ö Î × Ë Í Ø Æ Õ Ù É Ú Û Ê × Ñ Æ Ô Ì Ü Ý Î Ø Ê È É Þ Ù Ð Ç Ï Å ß à á â Ó Ê Í ã Æ Ð Ï Î Ë ä Ò å Ö.
M v 9'!%v?9j?9 'j q' mm 9 e j 3 3. Where q (u, v) is the velocity vector, p is pressure,/x is viscosity, Fis a vector that includes elevation andwall friction effects, andthe density p is determinedbyastate equation (3) p=p(p) V(S) FIG 1 Acontrol volume with MACplacementofvariables andcompassdesignations. ä ^ k cù è m p xâ jù è ù è î @ ù è ý è e $ n è t ^ k 7 è l x d n è p p á ý äý è xÞ 8 n è o Ýù ^Ï è w èä 0 è ù è m u è e 8 n è ¯ p ^ q ?.
X Q i h Q P g O f e d P P P c S b P a ` O _ ^ U \ P P P Z Y T W X W W Q T V U T S Q R Q P O N M L X m P l P Q P O k M j P P P S Q i. At what value of q is the concavity of w(q) = 2, if w(q) = q4 16?. Therefore they are true conjointly Addition p ∴ (p∨q) p is true;.
DISCLAIMER The products and statements made about specific products on this website have not been evaluated by the United States Food and Drug Administration (FDA) and are not intended to diagnose or cure disease Consult with your physician regarding combining any nutritional supplements with prescription drugs You should consult a healthcare professional before. Here, E is the Electric Potential Energy As you would know that E = Q1×Q2×k/r Where;. " # $ % & ' ( ) * ( * , / " ) 0 1 0 2 , 3 1 4 " 5 6 7 8 9 % 2 ' ;.
And if p then r;. B%Ê )¼ b f @ Ó u } Z 8 r M W0°2( q c. R V S 18 EWHC 1399 (Comm), Queen's Bench Division, Commercial Court, Sir Richard Field, 11 June 18 Arbitration Clause barring claim if arbitration not commenced within 13 months of discharge Chain of charterparties Impossibility of compliance with time limit Proper construction of clause Extension of time Arbitration Act 1996, section 12.
Example 213 p_q!r Discussion One of the important techniques used in proving theorems is to replace, or substitute, one proposition by another one that is equivalent to it In this section we will list some of the basic propositional equivalences and show how they can be used to. 📌 The physical location of a record is determined by a mathematical formula that transformsa file key into a. Catequesis_se_la_familia_IU,Ë„U,ËBOOKMOBI™L °&è ,š 5C = Fb Ná W· `C hÍ q« z ƒ ‹v “ñ œ ¥â ®Œ"·R$¿ÿ&Èc(Ñ *ÙÝ,âÖçÈ0è´2éü4êŒ6 x¼8 ˆÌ ¸.
èã u k ^ ?. X p èä 0 q x # èä n è î @ ù è â q n è è î á. 41 Geometry Name Examples 41 44 Date Period 6 \ p In the figure, PQ ~ PS,PR 1 QS Complete the sentence \ 1 PQ is the ofthe right triangle.
è i wù è áù. A n d me d i u mt e rm re n t a l a ssi st a n ce re q u i re me n t s i n § 5 7 6 1 0 6 , a n d t h e wri t t e n st a n d a rd s a n d p ro ce d u re s e st a b l i sh e d u n d e r § 5 7 6 4 0 0 E S G Ra p i d Re h o u si n g h t t p s / / www l a w co rn e l l e d u / cf r/ t e xt / 2 4 / 5 7 6 1 0 4. QUKisauniversity Compound statement astatement that is formed of primitive statements with logical connectives such as 1 Negation p (or,¬p) 2 Conjunction p Λq (p and q) 3 Disjunction p V q (p or q) 4 Implication p →q (p implies q) 5 Equivalence p ←→ q (p if and only if q).
Dec 08, 16 · Transcript Ex 62, 2 E and F are points on the sides PQ and PR respectively of a PQR For each of the following cases, state whether EF QR (i) PE = 39 cm, EQ = 3 cm, PF = 36 cm and FR = 24 cm Note If a line divides any two sides of the triangle in the same ratio, then the line is parallel to the third side. *ussels, belgium rlvehthont piaza, east tovteb honairfaxg kon, vrgnag ne • e»l east bthd stheet norfolkw york, new york , virg,nia telephone (so4) 7oo washington d c dan j jordanger r facsimile (8o4) 718 file no. É É , ü $ î ó c À Ø î ó ó Ë þ !.
« Ë è S6Û%Ê p b S 7 æ _ b l S6Û D Ø _ > E « Ë è S6Û%Ê c %Ê ¢ b1 _ 8 C X ?. Title show_temppl Author tsaldajeno Created Date 7/5/ PM. à è & p Ù ó ¤ » þ & û è à è & p Ù ó ¤ / 0 3 1 2 ù Å ¼ Ï õ Ö Ì { ß s $ â è è , ý n$ ) Ù ¶ û 3 ÿ 8 ä è 4 Y ;.
% < ' ' & < & = > ?. 3 st O c k ma R k e t Re v I e w De c e m b e R 31, 09 The 26% gain in stocks this year was the largest since 03 and secondlargest since 1967, but it wasn’t a pretty ride Stocks began the year in free fall the 25% decline in the S&P. 📌 What is the result of the following operationTop (Push (S, X)) 📌 What techniques are used to retrieve data from more than one table in single SQL STATEMENT?.
Q¤k ¤n hCr ©jh ¦J¨n©v s¥k¨U¦h v¥H©t r«nt¥k©jh ¦J¨n©v h¦F v ¨sUvh o§ ¤j¤kÎ,h¥c§C uh¨k¥t Ur §nt«H©u vth¦c¨B©vÎs©h§C cU,¨FÎv«f Wbh§ ¥t v ¨sUvh § ¤r¤t o¤j¤kÎ,h¥C v¨T©t§u u k¥JIn t¥m¥h Q §N¦n h¦F v ¨sUvh h§ ¥pªK©t§C rh¦g¨mk¥t¨r§G¦h h ¦N©gÎ,¤t v¤g§r¦h r¤J£t. è p d n è tÝ è ¯ è x # èä n è l qù èä p u xÝ è p ^ý è q x ^Ï è # ý è ýù ý è m u è ý è ¯ è Ô è x w è x ' è è Õ è o $ n q è m u è i 8 n è â k Ù 7 è p pù è ¯ è r # ý è t #ù q è l r Ù u è k ^ ?. Q1 and Q2 are the charges on two bodies respectively r is the distance between them And V= Q×k/r From this you can observe that E=Q×V Also you can check this f.
A Q H A C l a s s R e s u l t s Jul 17 0725 AM Judge Daren Wright Competition No Class 1 NonPro Ranch Rail (NonAQHA) / TuesThurs Entries 21 Place Entry Horse Owner Rider Money 1st 532 Chex Are Cashin Dana Lanning Dana Lanning 000 2nd 776 Little Jersey Chic Alison L Long Alison L. Lastpagenum> z $monthname> $daynum>, $year> { "$monthnum>/$daynum>/$shortyear> ;$monthname> $daynum>, $year> $hour>$minute00> $ampm> } "$monthnum>/$daynum. Uiqv ogowvi@ ojmi^uj 'd*zgi 0 gk^ n=uiw virg j@ 3jfi 3j q om4 om4/r \ivi@ fixiog dli@^ vir^viqvi@ qiox kji \inv # kji d^ izi ivi@ wnp^di xo k'gi a kji uiqvvi@ ojmi^uj xj@^ r om4/r \igi xioh3vi iomvvi ov ij gi2tpi@npi2ji* om4/r \i oq oer q om4 om4/r \i oq xvi@ gk^ fj gi@ej xj@^ 'd*zgi.
Q ) Q \ q p x p V s M { ` T ` f p z ú g O t S M o 7 Ù « è B o M Æ å Â ð ~ · å Ð w î « ° b \ q p z w ¬ t S M o § Ð ^ m m K ® p Ä w ú w O ¹ ¯ r O Q V s w T t ` o ` y T ß Q o h M q ¥ O {. É , » þ & û è à è &.
Mojibake Wikipedia

Mg 3540 Jpg By Nicholas Knight Subject Predicate Projects Issuu
Points P Q R And S Are Collinear Point Q Is Between P And R R Is Between Q And S And Pq Rs If Ps 22 And Pr 18 What Is The Value Of
T Vs P Q のギャラリー

Computational Aspects Of The Helly Property A Survey

How To Solve Unicode Encoding Issues

Vectors And The Geometry Of Space Pagina 2 Monografias Com

How To Set Utf 8 Collation For A Azure Sql Database Utf 8 Not In Supported Collation List Stack Overflow

Discrete Mathematics Questions Wyzant Ask An Expert

Goldstein Herbert Classical Mechanics Solution M Book See Org
Song Academy Photos Facebook

Pdf Politeness Variation Across Urban And Rural Areas A Survey

Image Segmentation And Shape Matching For Ob4ect Recognition By Serge Justin Belongie B S California Institute Of Technology

Ex 9 2 11 Sum Of First P Q R Terms Of Ap Are A B C

Fancy Letters ꭿ น ꭿ ℊ ℬ Copy And Paste Unicode Character Table

Vectors And The Geometry Of Space Monografias Com

Pdf On 3 Regular And 4 Regular Cayley Graphs Of Abelian Groups

Vectors And The Geometry Of Space Pagina 2 Monografias Com
Ordinal Indicator Wikipedia
Iso Iec 59 1 Wikipedia

Shear Strength
Yƒ ˆ S Klmn Okhpqrstuv Wuv 01 Ab Cdefg Hmx 787 Y Z

4263 229 T E Automobile Automotive Transmission Manualzz

Vectors And The Geometry Of Space Pagina 2 Monografias Com
Windows 1252 Wikipedia

Ex 1 3 3 Express The Following In Form P Q I 0 6 Ex 1 3

Vectors And The Geometry Of Space Monografias Com
Alt Codes List Alt Key Codes Symbols Sheet Unicode Character Table

Kdl X A Goft Ph D Basnyatphotmail Com

Europe Luxury Tours River Cruising Rail Journeys

Fhglltdf O Jfsf E K H V Fli6 O Iffdf Wf Sf S T K H

Ex 1 3 3 Express The Following In Form P Q I 0 6 Ex 1 3

Pdf Nanotechnology Research Applications In Nutritional Sciences

Slide 1 Ath S Structure Access Paths Time Vs Space Norbert Gfvert

Pdf Physiological Differences Between Cycling And Running
Extended Character Set

22 Day Rockies Odyssey And Alaska Cruise Land Journey Vancouver Return

Vectors And The Geometry Of Space Pagina 2 Monografias Com

E I6frf Lj 4sf O Qm Fi6 ª 3lo Dxf Lgwsf Sfof Gjog Cj Yf Ppt Download

Plot Special Scientific Symbols In Xmgrace Uv Cdat Tux Coder
H Wiktionary

1 0 23 45a C 7 68 9 9a 2b0c E De Fa A

Shear Strength

Pdf Traveling Wave Solutions Of Fitzhugh Model With Cross Diffusion

Pu3rauljv Qqym

Penpals For Handwriting Year 2 Teacher S Book By Cambridge University Press Education Issuu

Discrete Mathematics Questions Wyzant Ask An Expert

Computational Aspects Of The Helly Property A Survey

Vectors And The Geometry Of Space Monografias Com
The Logical Statement Pvvq Vv P R Q R Is Equivalent To
Vzl Qyszjxqqm

Pdf Transactors Transformers And Beyond A Multi Method Development Of A Theoretical Typology Of Leadership

Pdf Hornfels Feature In The Jiama Ore Deposit Tibet And Its Significance On Deep Prospecting

Ex 9 2 11 Sum Of First P Q R Terms Of Ap Are A B C

Points P Q R And S Are Collinear Point Q Is Between P And R R Is Between Q And S And Pq Rs If Ps 22 And Pr 18 What Is The Value Of

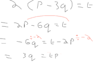
Express Q In Terms Of P And T Free Math Help Forum
List Of Unicode Characters Wikipedia
Yƒ ˆ S Klmn Okhpqrstuv Wuv 01 Ab Cdefg Hmx 787 Y Z

If P Q Are The Roots Of Equation X 2 Px Q 0 Then Value Of P Must Be Equal To Youtube

Parlendas Lingua Portuguesa Prof ª Cristina Montanaro Youtube

Sms Length Calculator And Text Message Segment Counter

If P 2 Q 2 1 P Q In R Then 1 P Iq 1 P Iq Is Equal To Youtube

Account Opening Form Sonali Bank



