V R Vs Lc
CACD 8Nov1994 Gazette, 11 January 1995;.
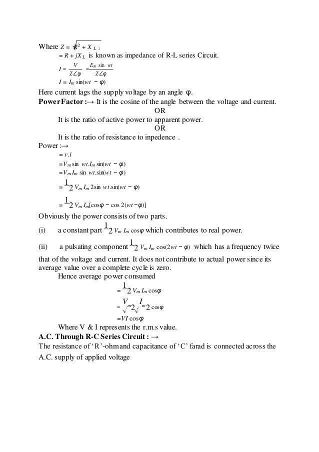
V r vs lc. V t o l } } Z D Ç v t o o u r À Title Microsoft Word Ripples, Sherman Author HeatherDavies Created Date 2/18/ PM. Property R L C v i relationship v = Ri v = Ldi dt v = 1 C R t t 0 i(τ)dτ v(t 0) i v relationship i = v R i = 1 L R t t 0 v(τ)dτ i(t 0) i = Cdv dt p power consumed p = vi = i2R p = vi = Lidi dt p = vi = Cvdv dt w energy stored w = 0 w = 1 2 Li2 w = 1 2 Cv2 Series connection R eq = R 1 R 2 L eq = L 1 L 2 C eq = C 1 2 C 1C 2 Parallel connection R eq = R 1R 2 R 1R 2 L eq = L 1L 2 L 1. 25/10/01 · R v Foulder 1973 Crim LR 45, R v Burnett 1973 Crim LR 748 and R v Ameer 1977 Crim LR 104 were wrongly decided Entrapment is a mitigating factor and no more Lord Scarman, at 1980 AC 402, 451, stated that the true relevance of official entrapment into the commission of crime is upon the question of sentence, when its mitigating value may be high 10 The decision.
93/6570/Z3 Regina v Hook Times, 11 November 1994 11 Nov 1994 CACD Glidewell LJ, French J, Buckley J Criminal Evidence The defendant appealed his conviction for obtaining property by deception He said the judge should have excluded evidence. Case 63/ R V Kirk 1984 Case 7/68 Commission v Italy (Art Treasures) 1968 Case 70/77 Simmenthal 1978 Case 70/86 Commission v UK (Dimdip headlights) 19 Case 8/74 Dassonville 1974 Case 87/75 Bresciani 1976 Case 98/86 Ministère public v Arthur Mathot 1987 Case C106/ Marleasing 1990 Case C109/04 Kranemann 05 Case C11/ PiraikiPatraiki v. V R C V S a Artist Edit Artist ;.
22/04/17 · View credits, reviews, tracks and shop for the 17 Vinyl release of "V R C V S" on Discogs. Grand Theft Auto V for PC offers players the option to explore the awardwinning world of Los Santos and Blaine County in resolutions of up to 4k and beyond, as well as the chance to experience the game running at 60 frames per second The game offers players a huge range of PCspecific customization options, including over 25 separate configurable settings for texture quality,. /09/19 · R v R 1992 1 AC 599 Attempted Rape – No Consent – Husband and Wife – s1(1) Sexual Offences (Amendment) Act 1976 – Marital Rape Exemption – Common Law Fiction Facts The defendant married his wife (complainant) in August 1984 After the marriage did not work, she moved out in October 19 and took her son to live with her parents At the time of the incident.
Case summaries relating to the lecture outlines on elawresourcescouk R v O R v O'Connor 1991 Crim LR 135. Times, 11 November 1994;. Disclaimer All content on this website, including dictionary, thesaurus, literature, geography, and other reference data is for informational purposes only.
00 1 WLR 1071 Regina v Doldur Times, 07 December 1999;. R V V 08 EWHC 1531 (Comm), Queen’s Bench Division, Commercial Court, Mr Justice David Steel, 3 July 08 Arbitration – Consultant Agreement to be performed in Libya – Performance of contract allegedly illegal in Libya – Arbitrators giving award in favour of consultant – Arbitrators rejecting public policy defence – Whether award capable of enforcement Arbitration Act 1996. R v R 1991 UKHL 12 is a decision in which the House of Lords determined that under English criminal law, it is a crime for a husband to rape his wife In 1990, the defendant, referred to in the judgment only as R to protect the identity of the victim, had been convicted of attempting to rape his wife He appealed the conviction on the grounds of a purported marital rape exemption under.
16/04/08 · RL v R 1 On 25 October 07 at the Crown Court at Mold before His Honour Judge Hughes QC and a jury the appellant, R L, was convicted of five counts of indecent assault (Counts 15) and four counts of rape (Counts 6, 8, 10 and 12) He was sentenced on 22 November 07 to 12 years imprisonment for each rape and four years imprisonment for each indecent assault, all. See R v Johnstone 03 UKHL 28;. 19/06/17 · R v C (Appellant) Judgment date 03 Aug 17 Neutral citation number 17 UKSC 58 Case ID UKSC 17/0007 Justices Lord Neuberger, Lord Mance, Lord Sumption, Lord Hughes, Lord Hodge Judgment details Judgment (PDF) Press summary (PDF) Judgment on BAILII (HTML version) Watch Judgment summary;.
What does VRC stand for?. If you enjoyed this video please consider the following Like, Comment, Share & Subscribe for more content in the future( ORIGINAL SONG https//wwwyoutube. Share Marketplace 14 For Sale Vinyl and CD Discography;.
R v S 19 Lloyd's Rep FC 529 COURT OF APPEAL((CRIMINAL DIVISION)) Before Lord Justice Davis,Mr Justice Edis,Mr Justice Andrew Baker Restraint order – Reasonable time – Guidance – Precharge – Delay – Discharge – Proceeds of Crime Act 02, sections 40, 41 and 42 The rest of this document is only available to ilawcom online subscribers If you are already a subscriber. 3 Releases 1 Albums 2 Singles & EPs Add Release;. R v S R v L (09) PUBLISHED January 27, 09 SHARE 09 EWCA Crim 85 The defence of necessity could not be excluded from consideration by the jury by a preliminary ruling where there was no agreed statement of facts and it was possible that evidence supporting the defence might be revealed on crossexamination of prosecution witnesses, or otherwise, in addition to that.
Data Quality New 3 submissions pending;. 06/08/ · Hear about exhibitions, events, offers and opportunities from the V&A and the V&A Museum of Childhood You can opt out of hearing from us at any time using the unsubscribe link in our emails Read our full privacy policy Latest from the Collections View collection Illustration View collection Tapestry View collection Photography View collection Print View more from. Title Microsoft Word Karen VanGerkodocx Author DS Created Date 8/16/19 PM.
30/07/09 · R v C (Respondent) (On Appeal from the Court of Appeal (Criminal Division)) 09 UKHL 42 LORD HOPE OF CRAIGHEAD My Lords, 1 The issue in this case is as to the scope of the words “unable to communicate” in section 30(2)(b) of the Sexual Offences Act 03 The defendant was charged with intentionally touching the complainant by penetrating her mouth. Title Microsoft Word v110 FLSDB fair processing statement Author BonnieWiles Created Date 7/16/ PM. A matter of civil law;.
V S R 0 Reference stall speed in landing configuration V S R 1 Reference stall speed in a specific configuration V SW Speed at which the stall warning will occur V TOSS Category A rotorcraft takeoff safety speed V X Speed that will allow for best angle of climb V Y Speed that will allow for the best rate of climb Other Vspeeds Some of these Vspeeds are specific to particular. 21 Followers, 6 Following, 9 Posts See Instagram photos and videos from music 🎶🎶 (@v_s__c_r_e_a_t_i_o_n). 06/05/21 · Atlas V and No Ghost announced that their latest immersive VR movie, Madrid Noir, is coming soon to Oculus Quest Madrid Noir is “staged as.
R v R 1991 3 WLR 767 House of Lords The defendant was charged with the attempted rape of his wife At the time of the offence the couple had separated although no formal legal separation existed and neither party had partitioned for a divorce Held The House of Lords overturned the matrimonial exception to rape His conviction for rape was upheld Lord Keith "It may be taken. VS SRLCL forma societaria Società a Responsabilità Limitata nazione sede legale ITALIA regione sede legale EMILIA ROMAGNA provincia sede legale BOLOGNA comune sede legale ARGELATO indirizzo sede legale VIA ANTONIO GRAMSCI 93 numero aggiudicazioni 0 numero abilitazioni 30 numero transazioni 2 numero contratti attivi 3 Partecipazioni del 17. 28/06/19 · R v C (Barry) 04 EWCA Crim 292 Marital Rape – Consent – Abuse of Process – Article 7(1) European Convention on Human Rights – R v R – Husband Can Be Convicted of Raping Wife Retrospectively Facts The defendant was convicted on a number of counts of sexual and violent offences against four different women between the years of.
03 Aug 17 Judgment summary Watch hearing;. 26/09/1997 · This page contains a form to search the Supreme Court of Canada case information database You can search by the SCC 5digit case number, by name or word in the style of cause, or by file number from the appeal court. Crossword Quick Solve Submit a new word or definition Number of letters Enter which letters you already have Start Over Matching Words 4 Results Below are the words that.
Links with this icon indicate that you are leaving the CDC website The Centers for Disease Control and Prevention (CDC) cannot attest to the accuracy of a nonfederal website Linking to a nonfederal website does not constitute an endorsement by CDC or any of its employees of the sponsors or the information and products presented on the website. R(0)(25 ) v C(0) i R(0) = 80/45k = 1778 mA But, i R = i C i L 1778 = i C(0) 15 or i C(0) = 0278 mA (b) v L(0) = v C(0) = 0 But, v L = Ldi L/dt and di L(0)/dt = v L(0)/L = 0 di L(0)/dt = 0 Again, 80 = 45i R v C 0 = 45di R/dt dv C/dt But, dv C(0)/dt = i C(0)/C = 0278 mohms/1 PF = 278 V/s Hence, di R(0)/dt = (1/45)dv. V/R is listed in the World's largest and most authoritative dictionary database of abbreviations and acronyms V/R is listed in the World's largest and most authoritative dictionary database of abbreviations and acronyms.
Our friend Filippo @V R C V S has a new project called lua I'm 4, they make cinematic and evocative ambient / soundscape with cippoli but also with arches and other orchestral instruments Their album is called ' Werner ' and it's out for @Marsiglia Records and @Kono Dischi in a. And (ii) the sale, or the possession in the course of trade, of goods of any of the various provenances set out in para 5 above, would amount to an infringement of trade marks, giving rise to civil liability But the appellants’ case is that whilst any of the various provenances set out would involve civil liability. 21/05/19 · The decision in R v Popat was to be preferred to that in R v Forbes Police and Criminal Evidence Act 1984 Codes of Practice Nottingham City Council v Amin;.
UNITED STATES v R L C certiorari to the united states court of appeals for the eighth circuit No Argued December 10, 1991 — Decided March 24, 1992 Because certain conduct of respondent R L C at age 16 would have constituted the crime of involuntary manslaughter under 18 USC §§ 1112(a) and 1153 if committed by an adult, the District Court held that he had. − V (s)V (s) =0 s V R L By KVL A Resistor VR (s) =RI(s) Inductor VL(s) =LsI(s) −LiL(0) −A RI(s)LsI(s)−LiL(0) =0 s V s R L i s R L V R s V R s R L i s s R L V L I s A A L A L = − = (0) (0) ( ) ( ) ( ) e i (0)e u(t) R V R V i t t L R L t L R A A = − − − Inverse Transform forced response natural response Series Equivalence and Voltage Division V1(s) =Z1(s)I1. QBD 2Dec1999 Times, 02 December 1999;.
Crossword clue answers with the letters v?r???l Crossword Clue Solver The Crossword Solver Home;. R v L (09) PUBLISHED July 30, 09 SHARE 09 EWCA Crim 1818 Possession of an offensive weapon was a serious offence and was to be treated as such, and a sentence of 12 months' detention for possession of a knife was not manifestly excessive CA (Crim Div) (Roderick Evans J, Cranston J) 30/07/09 Related Links Bailii some links may not be immediately. List of 5 best 👍 VRC meaning forms based on votes Most common VRC abbreviation full forms updated in May 21.
Looking for online definition of V/R or what V/R stands for?. See AppR 9(B) and Knapp v Edwards Laboratories, 61 Ohio St2d 197, 199 (1980) Without a transcript to review the proceedings before the trial court, an appellate court must "presume the validity of the lower court's proceedings, and affirm" Knapp at 199 {¶ 5} Lacking an adequate record, we have no choice but to presume the regularity of the trial court's actions We overrule. &roohfwv iurp &rpprq ruvkls 6huylfhv dqg 3ud\huv iru wkh &kxufk ri (qjodqg &rpprq ruvkls 3dvwrudo 6huylfhv 7kh &kulvwldq.
R v PADDISON 1973 QB 910 (CA) Facts Per Lawton LJ ‘The appellants were both employed at Farleigh Mental Hospital, Flax Bourton, SomersetQuick was a charge nurse, Paddison a state enrolled nurse At the trial it was not disputed that, at about 4 pm on 27 December 1971, one Green, a paraplegic spastic patient, unable to walk, was sitting in Rosemount Ward at the hospital. 1995 2 Cr App R 11;. 1 – 3 of 3 Sort Show Albums TLLT123 V R C V S V R C V S (LP, Album, Ltd, Red) To Lose La Track.
03 1 WLR 1736;. Enjoy the videos and music you love, upload original content, and share it all with friends, family, and the world on YouTube. Gazette, 08 December 1999 7 Dec 1999 CACD Criminal Evidence A jury cannot convict solely on the basis of.
10/01/1994 · Regina v Pieterson;. 🔘 KILLY Beautiful 00* ( Crunk Business Remix )🔘 All Rights Reserved by DistroKid🎶 Videodan zevk aldıysanız, beğenmeyi;Kanalı sevdiyseniz, abone olmayı.

Mikefc After Watching The Queen S Gambit This Week I M Posting Some Rstats Chess Things This Is Recursive Code To Solve The 8 Queens Problem In 1 Long Form 2

Rv Name Generator Reveal Yours Now Name Generator Rv Names

Chapter 8 Second Order Circuits Ppt Download
V R Vs Lc のギャラリー
Projects Kora Matrix Msu Edu Files 162 565 1176 S040 1924 1925 Pdf
Www Jstor Org Stable
1
Related Videos Of In An Lc Circuit As Shows In Fig The Switch Is Closed At T 0 Q Max 100 Mu C L 40 Mh C 100 Mu F

Diabetic Neuropathy A Position Statement By The American Diabetes Association Diabetes Care

Answered D Derive The Transfer Function H S Bartleby

Hp Reverb G2 Vs Oculus Quest 2 Link Performance Comparison In Arizona Sunshine Youtube

Chapter 8 Secondorder Circuits A Circuit With Two

Answered Given An Rlc Circuit Below Find The Bartleby

Vr 59 High Resolution Stock Photography And Images Alamy
:max_bytes(150000):strip_icc()/running-over-the-terms-and-conditions-in-her-contract-888776672-b0214fd88f4049a697fb91257430913d.jpg)
Letter Of Credit Definition

Mutations In The Major Gas Vesicle Protein Gvpa And Impacts On Gas Vesicle Formation In Haloferax Volcanii Knitsch 17 Molecular Microbiology Wiley Online Library

Resonant Rlc Circuits
Amazing Savings On Elya Women S Polished Initial Pendant I Also In H Z E T V R N S J L W A B C X D P M G

In A Series Resonant R L C Circuit The Voltage Across R Is 100 V And The Value Of R 1000 N The Capacitance Of The Capacitor Is 2 X 10 6 F Angular

Letter Formation The Ot Toolbox
Omn6cbjnkbxqwm

Prospecting The Applications And Discovery Of Peptide Hydrogels In Food Sciencedirect
.png)
Progressive Employment Learning Collaborative Explorevr
1

Online Homework 11 Solution

Introduction To Dcdc Conversion Ee174 Sjsu Tan Nguyen Slideshow And Powerpoint Viewer Objectives Introduction Of Dc Dc Converter Voltage Regulation Types Of Dc Dc Converters Li
Real Madrid V R Sociedad As It Happened
Web Stanford Edu Mrosenfe Baker V Nelson Minn 1971 Pdf
1
Mcdonalds V Big Mak Trademark Mc Donald S

Motorcycle Red Skull Sticker Flame Decal Fuel Tank Decals Stickers For Harley Sportster Xl 8 N C R L 10 X V R N L C S Xr10 Tank Decal Fuel Tank Decalstank Sticker Aliexpress

Voltage Divider And Voltage Division

Steamvr On Steam

Properties Of G Rightarrow B Bar B At Small Opening Angles In Pp Collisions With The Atlas Detector At Sqrt S 13 Tev Cern Document Server

Alternating Current University Physics With Mod

Lr Series Circuit Series Inductor Resistor

Gives The Resulting Impedance For V R H 2 With The Following Download Scientific Diagram

Chapter 8 Second Order Circuits Ppt Download

Better For Pc Vr Oculus Quest 2 Vs Rift S Plus Air Link Wireless Pc Vr Tutorial Updated April 28 21 360 Rumors
Http Www Ijpsonline Com Articles Development And Validation Of A Sensitive And Rugged Lcmsms Method For Evaluation Of Valganciclovir And Its Active Metab Pdf
Statement 1 In A Series Rlc Circuit If V R V L And V C De

Ppt Ac I V Relationship For R L And C Powerpoint Presentation Free Download Id

What Is Ohm S Law Fluke

Ba5lccfixpv5lm

The Need For Three Separate Parallel Wad Ratings Of Whiplash Injuries To Cervical Lumbosacral And Thoracic Spine In Clinical Assessments Of Injured Motorists European Journal Of Medical And Health Sciences
Man City V Psg As It Happened

Pioneer 1 Randomized Clinical Trial Of The Efficacy And Safety Of Oral Semaglutide Monotherapy In Comparison With Placebo In Patients With Type 2 Diabetes Diabetes Care

A Shot Of A Sleek Looking Atlas V 501 Taken Earlier This Morning From Slc 41 Ula
1 Vytah

Circuit And Network Theory

How Important Is Crispr Cas For Protecting Natural Populations Of Bacteria Against Infections By Mobile Genetic Elements Biorxiv

Clarus Sl And Sl R Instrument Amplifier
Solved Use Phasor Techniques To Determine The Current Supplied By The Source Given That V 8 Lt 0 V R 7 0 C 18 Jf L 6 Mh And W 2500 Rad Course Hero

Syidlrjjlcgx1m
Www Usna Edu Ece Ee4p Homework Ee4 Hw 02 Spring17 Soln Pdf
Solved The Switch In Figure 1 Has Been Closed For A Very Chegg Com

In An L R C Series Circuit The Source Has A Voltage Amplitude Of 1 V Math R 80 0 Omega Math And The Reactance Of The Capacitor Is Math 480 Omega Math The Voltage Amplitude Across The Capacitor Is

In The Circuit Shown In Figure E 1 V R1 30 0 W R2 50 0w And L 0 0 H Switch S Is Closed At T 0 Just After The Switch
Www Dhs Pa Gov Contact Dhs Offices Documents Oltl Supplemental Resources C Pdf

Comparison Of Grd Products Original Grd Slc Converted To Grd Grd From Google Earth Engine S1tbx Step Forum
Honda Cr V Wikipedia

In The Circuit Shown In Figure E 1 V R1 30 0 W R2 50 0w And L 0 0 H Switch S Is Closed At T 0 Just After The Switch

Solved 10 Points Consider The Rlc Series Circuit Shown Chegg Com
Solved Tco 3 Calculate Total Impedance Zt Current I And Voltage Values Vr Vl Vc For The Circuit Shown Below Where The Voltage Source Va Course Hero

Applied Sciences Free Full Text In Vitro Estimation Of Relative Compliance During High Frequency Oscillatory Ventilation Html

Vsvs L C R At Every Instant The Generator Supply Voltage V S V M Sinwt Is Given By V S V L V C V R Iz Ix L Ix C Ir These Relationships Ppt Download
Http Web Csulb Edu Cwallis 170 Hmk Pt4 13 Key Pdf

Baby Girl Names That Start With V
Http Ipl Physics Harvard Edu Wp Uploads 13 03 15b 4 Pdf

Genetic Analysis Of Porcine Productive And Respiratory Syndrome Virus Between 13 And 14 In Southern Parts Of China Identification Of Several Novel Strains With Amino Acid Deletions Or Insertions In Nsp2
Www Jstor Org Stable
Comparing The L C Oscillations With The Oscillations Of A Sprin

Appendix M Conversion 2 Layer Model For Rigid Pavements Subroutine Proposed Enhancements To Pavement Me Design Improved Consideration Of The Influence Of Subgrade And Unbound Layers On Pavement Performance The National
Www History Navy Mil Content Dam Museums Seabee Cruisebooks Wwiicruisebooks Specials Cruisebooks 8 spec 1943 45 Pdf
3 Series Rlc Circuit Add An Inductor In Series T Chegg Com
Arxiv Org Pdf 1801

Simple Switching Transients O O Considering Ac Drives

Solved 1 True False For A R L C Circuit With R 2 Kohm Chegg Com

Ula S Atlas V 551 Sits At Slc 41 Ahead Of The Aehf 6 Launch Ula

Solved Exercise 4 2 Use Mp Mt Ds And Hs To Prove That Chegg Com
Utah Instructure Com Files Download Download Frd 1

Obfuscated Hello World Program

What S The Correct Approach To This Rlc Circuit Problem About Rms Voltage Electrical Engineering Stack Exchange

Attribute Based Encryption With Outsourced Decryption In Blockchain Springerlink
Firefly Alpha Inaugural Flight Vandenberg Slc 2w 21

Pathogens Free Full Text Proposal Of A New Bois Noir Epidemiological Pattern Related To Candidatus Phytoplasma Solani Strains Characterized By A Possible Moderate Virulence In Tuscany Html

04 Forest River Sunseeker 2860ds Class C Gas Motorhome 30 Foot Ford E 450 Chassis 362hp 6 8l Triton V 10 Gas Engine Used Rv For Sale Motorhome Rv For Sale

A Consanguineous Pakistani Pedigree With Ighd This Family Tree Shows Download Scientific Diagram
Www History Navy Mil Content Dam Museums Seabee Cruisebooks Wwiicruisebooks Specials Cruisebooks 8 spec 1943 45 Pdf

How To Find Legal Cases By Citation Sfu Library

Relaxin Family Peptides Structure Activity Relationship Studies Patil 17 British Journal Of Pharmacology Wiley Online Library

Purification And Biochemical Characterization Of Hel A 6 A Cross Reactive Pectate Lyase Allergen From Sunflower Helianthus Annuus L Pollen Scientific Reports

Linear And Bilinear Functionals
Rlc Circuit Wikipedia

Lecture 19 1 Potential Difference Across Inductor V

Chapter 8 Natural And Step Responses Of Rlc Circuits Ppt Download

Baby Boy Names That Start With V
Pdf Response Of First Order Rl And Rc Circuits Assessment Problems Shashi Kant Academia Edu
Tbp Berkeley Edu Exams 46 Download

Solved Find The Differential Equation Relating Output And Chegg Com

Amazon Com Camco Magnetic Cap Allows You To Conveniently Store Your 4 In 1 Adapter In Your Rv Camper Or Trailer Bumper During Travel Vented For Air Flow Automotive

Browder V Gayle Class Action Lawsuit The Bus Boycott Explore Rosa Parks In Her Own Words Exhibitions At The Library Of Congress Library Of Congress
Q Tbn And9gcq2bw Vtktsyot K8j2j7dw6 Mpyem9pb00fqm7c1do6ka8joff Usqp Cau
Ohm S Law Wikipedia
Heinonline Org Hol Cgi Bin Get Pdf Cgi Handle Hein Journals Sasklr59 Section 18



